Студопедия

Главная страница Случайная страница

КАТЕГОРИИ:

АвтомобилиАстрономияБиологияГеографияДом и садДругие языкиДругоеИнформатикаИсторияКультураЛитератураЛогикаМатематикаМедицинаМеталлургияМеханикаОбразованиеОхрана трудаПедагогикаПолитикаПравоПсихологияРелигияРиторикаСоциологияСпортСтроительствоТехнологияТуризмФизикаФилософияФинансыХимияЧерчениеЭкологияЭкономикаЭлектроника






Вектор называется вектором нормали гиперплоскости . Уравнение (3) называют уравнением гиперплоскости, проходящей через данную точку.






Определение. Углом между двумя гиперплоскостями с векторами нормали называется угол, определенный формулой

. (4)

Гиперплоскости называются параллельными, если и только если и ортогональными, если и только если .

Следовательно, если , , то

– условие параллельности гиперплоскостей

(в случае ненулевых );

– условие ортогональности.

Задача 8. Найти уравнение гиперплоскости:

1) проходящей через точку параллельно гиперплоскости ;

2) проходящей через точки , ортогонально гиперплоскости .

Решение. 1) Воспользуемся уравнением гиперплоскости, проходящей через данную точку в :

.

Координаты точки нам даны, а из условия параллельности следует, что в качестве вектора нормали можно взять вектор вида , где . Подставляя в уравнение, получим:

,

.

Ответ: .

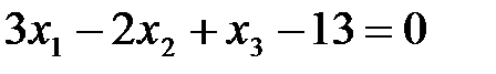
2) Пусть – вектор нормали искомой плоскости. Тогда уравнение плоскости, проходящей через точку , имеет вид:

.

Так как точка принадлежит этой плоскости, то ее координаты удовлетворяют уравнению этой плоскости:

.

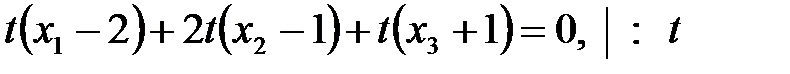
Воспользуемся также условием перпендикулярности искомой и данной плоскостей с вектором нормали :

.

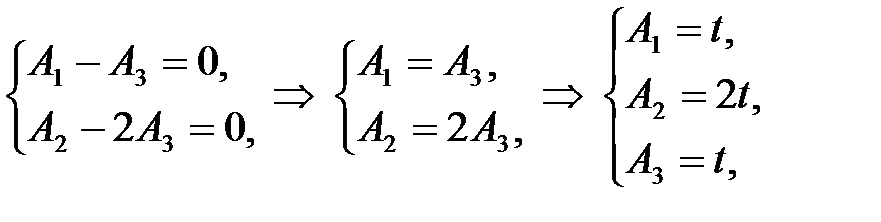
Мы получим для определения систему двух уравнений:

Решим ее методом Жордана-Гаусса:

~ ~

где .

Подставим в первое уравнение:

Ответ: .

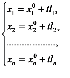
Определение. Прямой в называется множество точек вида

, (5)

где – фиксированная точка, – фиксированный ненулевой вектор.

Вектор называется направляющим вектором прямой

:

· или ·

 

Уравнение , которому при удовлетворяют все точки прямой , называется параметрическим (векторным) уравнением прямой . Если мы распишем его в координатном виде, то получим систему:

, (6)

которую называют параметрическими уравнениями прямой.

Замечание. Параметрическое уравнение однозначно определяет прямую, но не наоборот, т.к. если мы возьмем любой ненулевой вектор () и другую точку , то уравнение будет также задавать прямую .

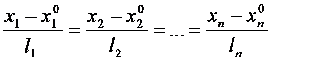
Если все , то разрешив (6) относительно , мы получим цепочку из равенств:

, (7)

она называется каноническим уравнением прямой.

Замечание. Каноническое уравнение – это сокращенная запись системы уравнений, а не одно уравнение.

Замечание. Если некоторые из чисел равны нулю, то соответствующие параметрические уравнения принимают вид: , ему удовлетворяют любые , поэтому цепочка (7) укорачивается и к ней добавляются равенства . Например, при :

Теорема (общие уравнения прямой). Множество решений системы линейных уравнений с неизвестными:

(8)

является прямой в , если и только если ранг матрицы системы равен (т.е. максимален).

Определение. Если прямая – множество решений системы (8), то эту систему называют общими уравнениями прямой.

Геометрическое истолкование: прямая в является пересечением гиперплоскостей. Следовательно, прямая в – это пересечение двух плоскостей, если они не параллельны или не совпадают.

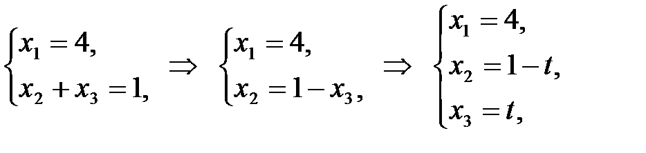
Задача 9. Выяснить, определяет ли системы уравнений прямую в и, если определяет, то найти параметрические уравнения прямой:

а) б)

Решение. а) Найдем , где

~ .

Т.к. , то система не определяет прямую.

б) ~ ,

т.е. система определяет прямую. Найдем общее решение системы по методу Жордана-Гаусса:

~ ~

где .

Параметрическое уравнение прямой: , .

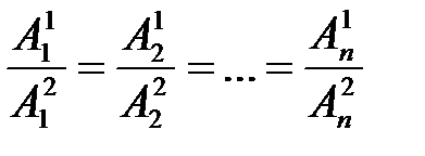
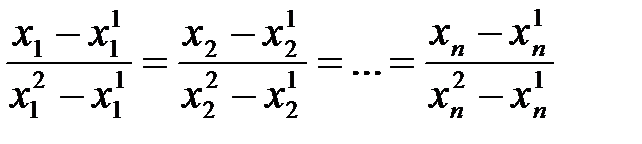
Если все координаты точек различны, то цепочка равенств

. (9)

называется уравнением прямой, проходящей через две точки.

Если какая-то пара соответствующих координат точек и равна, то цепочка уравнений укорачивается (см. замечание к уравнению (7).


Поделиться с друзьями:

mylektsii.su - Мои Лекции - 2015-2026 год. (0.831 сек.)Все материалы представленные на сайте исключительно с целью ознакомления читателями и не преследуют коммерческих целей или нарушение авторских прав Пожаловаться на материал