Студопедия

Главная страница Случайная страница

КАТЕГОРИИ:

АвтомобилиАстрономияБиологияГеографияДом и садДругие языкиДругоеИнформатикаИсторияКультураЛитератураЛогикаМатематикаМедицинаМеталлургияМеханикаОбразованиеОхрана трудаПедагогикаПолитикаПравоПсихологияРелигияРиторикаСоциологияСпортСтроительствоТехнологияТуризмФизикаФилософияФинансыХимияЧерчениеЭкологияЭкономикаЭлектроника






Задача 2. Теория двойственности






В предлагаемой альтернативной хозяйственной ситуации получите с помощью средств MS Excel (надстройка Поиск решения) оптимальный план производства продукции, проведите экономико-математический анализ оптимального плана с помощью двойственных оценок.

Предприятие выпускает три сорта мороженого: «Шоколадный пломбир», «Белочка» и «Лакомка» и реализует его по цене 57, 53 и 55 руб. за килограмм соответственно. Для производства используются три вида сырья. Расход сырья на производство одного килограмма мороженого и его запасы приведены в таблице:

Сырье Запас Сырья (кг.) Расход сырья на производство 1кг. мороженого
«Шоколадный пломбир» «Белочка» «Лакомка»
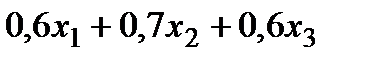
Молоко   0, 6 0, 7 0, 6
Масло   0, 2 0, 2 0, 3
Шоколад   0, 2 0, 1 0, 1

Требуется:

Сформулировать прямую оптимизационную задачу на максимум прибыли от реализации продукции, получить оптимальный план выпуска продукции.

Построим математическую модель прямой задачи.

Введем управляющие переменные:

- количество произведенного мороженого «Шоколадный пломбир» (кг.),

- количество произведенного мороженого «Белочка» (кг.),

- количество произведенного мороженого «Лакомка» (кг.).

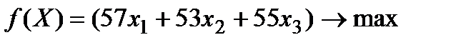
Построим функцию цели. Если реализовать кг мороженого по цене 57 руб./кг, то прибыль составит руб. и т.д. Следовательно, целевая функция - прибыль предприятия – запишется выражением

.

Исходя из требования максимизации прибыли:

.

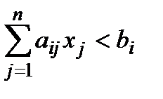
Построим систему ограничений. Расход каждого вида сырья определяется выражением:

для молока - ,

для масла - ,

для шоколада - .

Так как расход сырья не может превышать количества, которым располагает предприятие, получим систему неравенств:

По смыслу задачи ясно, что переменные могут принимать лишь неотрицательные значения, т.е. , и .

Теперь можно сформулировать математическую модель задачи:

найти

при ограничениях: ,

, и .

Решим задачу с помощью программы Excel «Поиск решения».

Подготовим форму: введем исходные условия задачи, зависимости для целевой функции и левых частей ограничений. Запустим программу Поиск решений.

Результат поиска решения:

В результате решения задачи найден оптимальный план , и . При этом .

Ответ: максимальная прибыль составит 2220 руб. и будет получена при выпуске 10 кг. мороженого «Шоколадный пломбир» и 30 кг. мороженого «Лакомка».

Сформируем отчет по устойчивости.

Сформулировать двойственную задачу и найти ее оптимальный план с помощью теорем двойственности.

Применим правила построения модели двойственной задачи:

1. Число переменных в двойственной задаче равно числу ограничений исходной задачи. Введем обозначения: - двойственная оценка -го сырья. Все переменные , и неотрицательны.

2. Коэффициентами при неизвестных в целевой функции двойственной задачи являются свободные члены системы ограничений прямой задачи .

3. Прямая задача – на максимум, следовательно, двойственная к ней – на минимум: .

4. Число ограничений в двойственной задаче равно числу переменных в прямой – 3.

5. В прямой задаче все неравенства в системе ограничений имеют вид «», следовательно, в двойственной задаче – вид «».

6. Матрицы ограничений исходной и двойственной задач являются транспонированными друг к другу:

7. Правыми частями в ограничениях двойственной задачи являются коэффициенты при неизвестных в целевой функции исходной задачи .

Учитывая эти правила, запишем модель двойственной задачи:

найти

при ограничениях

.

Значения двойственных оценок находятся в отчете по устойчивости в столбце «Теневая цена»: , и

Вычислим значение целевой функции двойственной задачи:

Как и должно быть в соответствии с Теоремой 1, экстремальные значения целевых функций прямой и двойственной задач совпадают, значит, оптимальный план двойственной задачи найден верно.

Пояснить нулевые значения переменных в оптимальном плане.

Рассмотрим оптимальное решение прямой задачи: , и .

Компоненты оптимального решения основной задачи и положительны, следовательно, два вида мороженого «Шоколадный пломбир» и «Лакомка» рентабельны и их следует производить в указанном количестве. Непроизводительных затрат нет, так как выполняется равенство ,. Действительно:

Нулевое значение означает, что производство мороженого «Белочка» нерентабельно, величина непроизводительных затрат при этом . Действительно . Значит, изготовление 1 кг. мороженого «Белочка» будет снижать достигнутый оптимальный уровень прибыли на 9, 833333 руб.

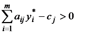
4. На основе двойственных оценок и теорем двойственности:

· проанализировать использование ресурсов в оптимальном плане исходной задачи;

Рассмотрим оптимальное решение двойственной задачи , и .

o Нулевая компонента указывает, что ресурс масло – недефицитный, он используется не полностью. По теореме 2 выполняется неравенство и излишки этого ресурса составляют кг. Увеличение запаса ресурса масло не повлияет на величину прибыли.

o Ненулевые значения и означают, что ресурсы молоко и шоколад являются дефицитными, они полностью используются в оптимальном плане и таким образом сдерживают рост функции цели. Действительно, по теореме 2 выполняется равенство :

.

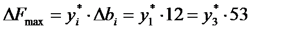
o Ресурс молоко является более дефицитным, чем ресурс шоколад, так как его двойственная оценка выше: . Кроме того, каждый дополнительный килограмм молока, введенный в производство, позволит увеличить прибыль на 88, 333 руб., а каждый дополнительный килограмм шоколада – на 20 руб.

o Относительная заменяемость ресурсов молоко и шоколад определяется соотношением , т.е. 53 дополнительные единицы ресурса шоколад в плане получения прибыли равноценны 12-ти дополнительным единицам ресурса молоко т.к. по теореме об оценках

 

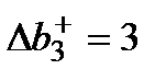
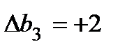
· определить, как изменится выручка от реализации продукции и план ее выпуска при увеличении запасов шоколада на 2 кг;

Анализ чувствительности решения к изменению запасов сырья проведем с помощью отчета по устойчивости.

Для запасов ресурса шоколад допустимое увеличение равно , допустимое уменьшение . По условию задачи запас шоколада предполагается увеличить на 2 кг., что соответствует значению . Это изменение входит в интервал устойчивости, значит можно применить теорему об оценках :

.

Вывод: при увеличении запаса шоколада на 2 кг прибыль увеличится на 40 руб.

 

· оценить целесообразность включения в план двух новых сортов мороженого «Малышок» и «Арбат» ценой 63 и 54 руб./кг соответственно.Расход сырья на производство одного килограмма мороженого приведен в таблице:

Сырье Расход сырья на производство 1кг
«Малышок» «Арбат»
Молоко 0, 8 0, 5
Масло 0, 15 0, 2
Шоколад 0, 05 0, 3

Рассчитаем критерий эффективности включения в производство новых сортов мороженого :

для мороженого «Малышок»:

производство продукции невыгодно. Заметим, что производство этого сорта мороженого станет рентабельным, если прибыль от ее реализации составит не менее 71, 664 руб./кг.

Для мороженого «Арбат»:

производство этого сорта мороженого выгодно.


Поделиться с друзьями:

mylektsii.su - Мои Лекции - 2015-2026 год. (1.084 сек.)Все материалы представленные на сайте исключительно с целью ознакомления читателями и не преследуют коммерческих целей или нарушение авторских прав Пожаловаться на материал