Студопедия

Главная страница Случайная страница

КАТЕГОРИИ:

АвтомобилиАстрономияБиологияГеографияДом и садДругие языкиДругоеИнформатикаИсторияКультураЛитератураЛогикаМатематикаМедицинаМеталлургияМеханикаОбразованиеОхрана трудаПедагогикаПолитикаПравоПсихологияРелигияРиторикаСоциологияСпортСтроительствоТехнологияТуризмФизикаФилософияФинансыХимияЧерчениеЭкологияЭкономикаЭлектроника






Совместное вычисление коэффициента корреляции и корреляционного отношения между взвешенными рядами






 

Совместное вычисление производят в случае, когда требуется дать количественную оценку степени криволинейности корреляционной связи, при этом определяют коэффициент детерминации r2 и точки эмпирической линии (табл. 13).

Для вычисления в табл. 13 составляют корреляционную решетку, суммируют частоты по столбцам (nx) и по строкам (nу). Условные отклонения ах и ау берутся от начала рядов, начиная с 0. Далее в столбцах получают суммы произведений частот на соответствующие им условные отклонения у (для первого столбца: 1 · 4 + 1 · 3 + 1 · 2 + 2 · 1 + 2 · 0 = 11). Полученные суммы произведений ∑ f·ay возводят в квадрат и делят на сумму частот в столбце: (∑ f·ay)·nx =112/7=17, 29, и т.д.

Необходимо получить точки корреляционной связи (регрессии). Для этого вначале суммы произведений частот на ау делят на соответствующие им в столбцах nx: для первого столбца ∑ f·ay/ nx=11/7=1, 57, и т.д.

Каждое из полученных значений умножают на величину классового интервала k (у нас k = 1) и к каждому полученному значению прибавляют минимальное значение ряда У (в нашем примере оно равно 4): 1, 57 · 1 + 4 = 5, 57, и т.д.


Таблица 13

Расчет показателей для совместного вычисления коэффициента корреляции и корреляционного отношения

Х У                 ∑ ny ay ∑ ny ay ∑ ny a2y
                         
                         
                       
                         
                         
                         
                         
                         
                         
∑ nx                        
∑ f·ay                        
(∑ f·ay)2/nx 17, 29 23, 21 60, 61 29, 45 64, 22 97, 32 32, 67 64, 00 388, 22      
ax                        
(∑ f·ay)/nx 1, 57 1, 11 1, 94 1, 64 1, 89 2, 26 2, 33 4, 00        
y/x 5, 57 5, 11 5, 94 5, 64 5, 89 6, 26 6, 33 8, 00        
∑ nx·ax                        
∑ nx·a2x                        
∑ ax(∑ f·ay)                        

 

Здесь f – частота, n – сумма частот, а – условное отклонение, N – число наблюдений.

 

Полученные значения 5, 57; 5, 11; 5, 94 и т.д.являются точками регрессии у/x (у по х). С использованием точек строится эмпирическая линия регрессии (рис.13).

Суммы частот в столбцах nx умножают на условные отклонения:

7 · 02 + 19 · 12 + 16 · 22 ...+ 4 · 72 = 315

Далее получают сумму nx· a2x:

7 · 02 + 19 · 12 + 16 · 22 +…+ 4 · 72 = 1357. Аналогично этим действиям получают суммы ny ay и ny a2y:

∑ ny ay = 25 · 0 + 20 · 1 + 27 · 2 +…+ 1 · 8 = 188

∑ ny a2y= 25 · 02 + 20 · 12 + 27 · 22 +…+ 1 · 82 = 654

Далее получают сумму ах·∑ f · ay:

∑ (ах·∑ f · ay) = 0 · 11 + 1 · 21 + 2 · 31 +…+ 7 · 16 = 684

Используя полученные в таблице суммы, рассчитывают коэффициент корреляции (r) и корреляционное отношение (η).

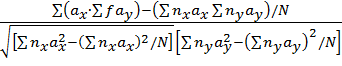
Коэффициент корреляции вычисляется по формуле:

r= (46)

r= = = = 0, 276

Корреляционное отношение вычисляется через его квадрат по формуле:

η 2 = (47)

η 2 = = = = 0, 116

Отсюда η = = 0, 340

Оценку достоверности коэффициента детерминации r 2 производят по критерию Фишера F.

Оценка степени криволинейности связи осуществляется несколькими способами. Наиболее простые из них два способа:

а) η 2 у/x r 2 ≥ 0, 1 (48)

Связь считается криволинейной, если разность квадратов η 2 и r 2 равна или превышает 0, 1.

 

 

Рис. 13. Эмпирическая и теоретическая линии связи высоты однолетних сеянцев сосны (у) и длины их корневых систем (х).

В нашем примере показатель криволинейности равен 0, 3402 –0, 2762 = 0, 040, следовательно, связь не является криволинейной.

б) N (η 2 у/x r 2) ≥ 11, 37, (49)

где 11, 37 – критерий криволинейности Блэкмана.

В нашем примере 100 · (0, 3402 – 0, 2762) = 100 · 0, 040 = 4 < 11, 37.

С помощью критерия Блэкмана подтверждена прямолинейность связи высоты надземной части однолетних сеянцев сосны с длиной их корневых систем (рис. 13).

В заключение отметим некоторые особенности, имеющие важное значение для анализа корреляционной связи, результаты которого получены в нашем примере:

Коэффициент корреляции, рассчитанный двумя способами, имеет одно и то же значение (r = 0, 276).

Предпочтение следует отдать второму способу совместного вычисления коэффициента корреляции и корреляционного отношения, так как этот способ позволяет: 1) определить ординаты связи и построить эмпирический график регрессионной связи; 2) определить степень кривизны связи; 3) рассчитать коэффициент детерминации и корреляционное отношение; 4) оценить уровень статистической достоверности коэффициента детерминации (r2) прямолинейной связи.

Не подтвердилось высказанное первоначальное мнение о наличии криволинейной зависимости высоты однолетних сеянцев сосны от длины их корневой системы.

 


Поделиться с друзьями:

mylektsii.su - Мои Лекции - 2015-2026 год. (0.347 сек.)Все материалы представленные на сайте исключительно с целью ознакомления читателями и не преследуют коммерческих целей или нарушение авторских прав Пожаловаться на материал