Студопедия

Главная страница Случайная страница

КАТЕГОРИИ:

АвтомобилиАстрономияБиологияГеографияДом и садДругие языкиДругоеИнформатикаИсторияКультураЛитератураЛогикаМатематикаМедицинаМеталлургияМеханикаОбразованиеОхрана трудаПедагогикаПолитикаПравоПсихологияРелигияРиторикаСоциологияСпортСтроительствоТехнологияТуризмФизикаФилософияФинансыХимияЧерчениеЭкологияЭкономикаЭлектроника






Метод плоской отливки






При определении теплофизических коэффициентов на точность измерений влияют конечные размеры испытуемых образцов. Поэтому толщина отливки должна быть не более 0, 1 ее ширины и высоты. Кроме того, термопары, определяющие распределение температуры по толщине формы, должны находиться напротив центра отливки, причем последняя термопара должна быть удалена от поверхности отливки на расстояние не более 1/4 ее высоты или ширины. Например, отливка толщиной 30 мм должна иметь высоту и ширину не менее 300 мм, а термопары в форме целесообразно разместить на расстояниях 2, 5, 10, 20, 35, 50 и 75 мм от поверхности соприкосновения формы с отливкой (рис. 2).

Измерять температуру следует термопарами, расположенными в изотермических плоскостях, то есть в плоскостях, параллельных плоскости поверхности отливки. Толщина электродов не должна превышать 0, 5 мм. Более толстые термопары искажают температурное поле формы и дают погрешности в связи с ошибками измерений расстояний горячих спаев от отливки. Температуру в отливке следует измерять термопарой, защищенной тонким кварцевым колпачком.

После постановки опыта необходимо обязательно разобрать форму и тщательно измерить расстояние от термопар до отливки, так как при формовке возможно их смещение.

Расчет коэффициентов ведут по формулам:

, (1)

где ;

. (2)

 

Теплопроводность и температуропроводность находят из соотношений

; . (3)

 

Поскольку температуру металла целесообразно измерять одной термопарой, расположенной в геометрическом центре отливки, в первом приближении можно положить θ П = θ кр. По рассчитанной теплопроводности определяют перепад температуры в отливке и делают поправку на изменение значений θ П и qкр.

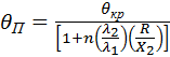
Величину θ П по известным n, R и Х = Х2 (из опыта) определяют из следующего уравнения:

. (4)


 

Рисунок 2 - Схема расположения термопар при определении теплофизических свойств формовочной смеси

 


Поделиться с друзьями:

mylektsii.su - Мои Лекции - 2015-2026 год. (1.761 сек.)Все материалы представленные на сайте исключительно с целью ознакомления читателями и не преследуют коммерческих целей или нарушение авторских прав Пожаловаться на материал