Студопедия

Главная страница Случайная страница

КАТЕГОРИИ:

АвтомобилиАстрономияБиологияГеографияДом и садДругие языкиДругоеИнформатикаИсторияКультураЛитератураЛогикаМатематикаМедицинаМеталлургияМеханикаОбразованиеОхрана трудаПедагогикаПолитикаПравоПсихологияРелигияРиторикаСоциологияСпортСтроительствоТехнологияТуризмФизикаФилософияФинансыХимияЧерчениеЭкологияЭкономикаЭлектроника






Определение расходов воды по измерениям скорости гидрометрическими вертушками






 

Вычисление измеренного расхода выполняют аналитическим и графическим методами

При аналитическом методе вычисления расхода, обработку измерений, выполненных с помощью вертушки, начинают с вычисления средней скорости течения на каждой вертикали.

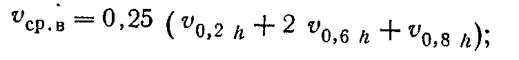
При измерении в пяти точках

 

При измерении в 3-х точках

При измерении в 2-х точках

при измерении в одной точке

При наличии ледяного покрова или водной растительности среднюю скорость на вертикали определяют по таким формулам:

при измерении в шести точках

При измерении в одной точке

 

где коэффициент К=0, 9.

Дальнейший расчет заключается в определении частичных расходов для площадей между скоростными вертикалями с последующим их суммированием Расход воды, проходящий через каждую частичную площадь, равен произведению полусуммы средних скоростей соседних скоростных вертикалей на площадь между этими же вертикалями.

Расход определяют по формуле

где

— средние скорости на вертикалях;

fo - площадь сечения между берегом (границей мертвого пространства) и первой скоростной вертикалью;

fn - площадь сечения между последней вертикалью и берегом (границей мертвого пространства).

Коэффициент К для скоростей и на прибрежных скоростных вертикалях при отсутствии мертвого пространства, принимают равным: при пологом береге с нулевой глубиной на урезе — 0, 7; при естественном обрывистом береге или неровной стенке (бут, неотесанный камень) — 0, 8; при гладкой бетонной ли сплошь обшитой досками стенке — 0, 9, а при наличии мертв ого пространства — 0, 5.

Графический метод вычисления расхода воды наиболее точен. При

этом способе приближенное интегрирование получается путем измерения площадей эпюр распределения скоростей на вертикалях и затем — эпюр элементарных расходов. Вычисления ведут в следующей последовательности. По расчетному уровню воды и приведенным к нему глубинам вычерчивают профиль поперечного сечения, на который наносят скоростные вертикали (рис. 77). На этом же чертеже строят эпюры распределении скоростей течения на вертикалях — годографы. Затем с помощью планиметра определяют площади этих эпюр, т. е. находят элементарные расходы воды. Среднюю скорость на вертикали вычисляют делением площади эпюры на глубину вертикали. По полученным значениям средних скоростей на вертикалях над профилем поперечного сечения строят эпюры распределения средних скоростей по Ширине русла. С эпюры снимают значения средней скорости на каждой вертикали.

Умножением значения средних скоростей на рабочие глубины промерных вертикалей находят для них значение элементарных расходов воды. На основе всех полученных данных строят эпюру распределения элементарных расходов по ширине сечения и, определяя ее площадь планиметром, находят расход воды.


Поделиться с друзьями:

mylektsii.su - Мои Лекции - 2015-2026 год. (1.801 сек.)Все материалы представленные на сайте исключительно с целью ознакомления читателями и не преследуют коммерческих целей или нарушение авторских прав Пожаловаться на материал