Студопедия

Главная страница Случайная страница

КАТЕГОРИИ:

АвтомобилиАстрономияБиологияГеографияДом и садДругие языкиДругоеИнформатикаИсторияКультураЛитератураЛогикаМатематикаМедицинаМеталлургияМеханикаОбразованиеОхрана трудаПедагогикаПолитикаПравоПсихологияРелигияРиторикаСоциологияСпортСтроительствоТехнологияТуризмФизикаФилософияФинансыХимияЧерчениеЭкологияЭкономикаЭлектроника






I. Общие сведения






В настоящее время ряд процессов химической технологии, при которых происходит взаимодействие газа или жидкости с мелкораздробленным твердым материалом (сушка, обжиг, адсорбция, каталитические процессы), осуществляют в аппаратах с так называемым взвешенным (псевдоожиженным) или кипящим слоем. В таких аппаратах указанные процессы значительно ускоряются.

Если через неподвижный слой твердых частиц, лежащих на решетке, пропускать снизу вверх поток газа и при этом постепенно увеличивать его скорость, то при некоторой скорости газа, называемой критической, весь слой твердых частиц переходит во взвешенное состояние. При дальнейшем повышении скорости газа в аппарате объем взвешенного слоя возрастает. Такой расширившийся взвешенный слой, в котором происходит интенсивное перемешивание твердых частиц, во многом напоминает кипящую жидкость - он «течет», принимает форму сосуда, через него пробулькивают пузыри газа; поэтому его часто и называют кипящим или псевдоожиженным слоем. При дальнейшем увеличении скорости газа продолжается расширение взвешенного слоя. Наконец, при некоторой скорости газа, называемой скоростью уноса, взвешенный слой разрушается —твердые частицы уносятся из аппарата потоком газа (возникает их пневмотранспорт).

Обозначим площадь поперечного сечения аппарата через f (м2), а объемный расход газа через V (м3/с). Тогда скорость газа, отнесенная к полному поперечному сечению пустого аппарата, или так называемая фиктивная скорость соф (м/с), будет равна:

Действительно, скорость газа со в промежутках между частицами слоя, измерить которую трудно, всегда будет больше фиктивной.

Если, увеличивая постепенно расход газа, измерить дифференциальным манометром падение давления газа при прохождении его через находящийся на решетке слоя твердых частиц (рис.1), т.е. измерять гидравлическое сопротивление слоя Дрсл, а затем построить график зависимости Арсл от фиктивной скорости газа С0ф, то этот график будет иметь вид, показанный на рис.2




 


Рис.1 Измерение гидравлического сопротивления слоя.

Рис.2 Зависимость гидравлического сопротилвения слоя от фиктивной скорости газа.

Как видно из рис.2, с области существования взвешенного слоя, начиная от критической скорости газа со, ф до скорости уноса соун, величина Арсл сохраняет постоянное значение. Причина этого рассмотрена ниже.

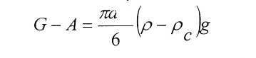
Переход твердых частиц неподвижного слоя во взвешенное состояние начнется тогда, когда Р динамического воздействия потока среды на частицу станет равной весу частиц G за вычетом подъемной (архимедовой) силы А (см. рис.):

Р = G - А (2)

Для шаровой частицы


где


^ - безразмерный коэффициент сопротивления, зависящий от режима течения

среды;

d - диаметр частицы, м;

со - действительная скорость среды между частицами, м/с; р и рс - плотности частицы и среды, кг/м3; g - ускорение свободного падения, м/с2.


Из уравнения (4) и (5) находим:

, 3

(6)

Если среда - газ, то плотностью среды по сравнению с плотностью частиц можно пренебречь и уравнение (2) примет вид:

Р = G (7)


Когда все частицы слоя перешли во взвешенное состояние, то давление газа перед слоем должно преодолевать вес частиц, приходящихся на единицу площади поперечного сечения аппарата f, Отсюда

G

Ар = -^- (8)

нсл г v '

где GCJ1 - вес всех частиц слоя, Н.

Из уравнения (8) видно, что для взвешенного слоя потеря давления Дрсл постоянна, т.е. не зависит от скорости газа соф. Это постоянство значения Дрсл объясняется тем, что при повышении расхода газа и его фиктивной скорости Юф происходит одновременное увеличение объема взвешенного слоя и расстояния между частицами. Вследствие этого действительная скорость газа между частицами со, от которой зависит сопротивление слоя, остается неизменной.

Важнейшей характеристикой слоя твердых частиц как неподвижного, так и взвешенного, является порозность е - объемная доля газа в слое

И -и и

V U

ел ел

где vCJ1 - общий объем, занимаемый слоем, м3;

v4 - объем, занимаемый только твердыми частицами, м3.

Для неподвижного слоя шаровых частиц одинакового диаметра порозность е составляет приблизительно 0, 4, независимо от диаметра частиц. Для взвешенного слоя прозность 8 с увеличением расхода газа будет повышаться, так как объем взвешенного соля vM при этом возрастает. При скорости уноса соун, предельной для взвешенного слоя, можно считать, что vCJ1 > > v4 и s = 1. Таким образом, взвешенный слой шаровых частиц одинакового диаметра может существовать в пределах от е = 0, 4 (при юф = сокр) до s = 1 (при Юф = соун). С некоторым приближением эти пределы можно принять и для частиц, имеющих форму многогранника.

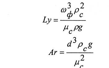
Для расчета аппарата со взвешенным слоем необходимы расчетные уравнения, устанавливающие зависимость между физическими свойствами газа и твердых частиц, скоростью газа соф и порозностью слоя е. Такие эмпирические уравнения представляют в виде зависимостей между обобщенными безразмерными переменными, так называемыми критериями подобия, которые включают все физические величины, оказывающие влияние на рассматриваемые процесс.

В гидравлике взвешенного слоя очень удобной для расчетов и наглядной является графическая зависимость между критериями Лященко и Архимед

Ly = f(Ar) (10)

при значениях е от 0, 4 до 1, соответствующих области существования взвешенного слоя шаровых частиц (рис.3).

Ar =------------------------ критерий Архимеда;

ф с
Здесь Ly =----- f-? ------ \----- критерий Лященко;


10°2 4 6 Ю 2 4 Б W2 2 4 6 Ю3 Z 4 6 Ю4 2 4 6 Ю5 2 4 6


fO6 2 4 6 id7 Ar


Рис. З. Зависимость критерия Лященко от критерия Архимеда для шаровых частиц.


ju — вязкость среды, Пах.

С-

Остальные обозначения прежние.

Если среда - газ, то р» рс и выражения для критериев Лященко и Архимеда упрощаются:

(11)

(12)



Поделиться с друзьями:

mylektsii.su - Мои Лекции - 2015-2026 год. (2.829 сек.)Все материалы представленные на сайте исключительно с целью ознакомления читателями и не преследуют коммерческих целей или нарушение авторских прав Пожаловаться на материал