Студопедия

Главная страница Случайная страница

КАТЕГОРИИ:

АвтомобилиАстрономияБиологияГеографияДом и садДругие языкиДругоеИнформатикаИсторияКультураЛитератураЛогикаМатематикаМедицинаМеталлургияМеханикаОбразованиеОхрана трудаПедагогикаПолитикаПравоПсихологияРелигияРиторикаСоциологияСпортСтроительствоТехнологияТуризмФизикаФилософияФинансыХимияЧерчениеЭкологияЭкономикаЭлектроника






III. Методика проведения работы.






Приступая к работе, закрывают вентиль В2 и полностью открывают вентиль Bi на выход воздуха в атмосферу. После этого пускают в ход вентилятор. Открывая впускной вентиль в колонку, устанавливают начальный расход воздуха, по показанию ротаметра Р Пользуясь переключателем П, измеряют при этом расходе воздуха перепад давления по дифманометру D в нижней секции колонки - Др1 и в двух секциях - Др2.

Записав результаты измерений в отчетную таблицу, проводят в той же последовательности измерения при втором значении расхода воздуха, затем при третьем и так до наибольшего, который дает вентилятор, увеличивая каждый раз расход воздуха.

Когда вентиль В«будет открыт полностью, дальнейшее увеличение расхода воздуха в колонке получают, прикрывая вентиль В,, т.е. уменьшая выпуск воздуха в атмосферу.

По окончании работы открывают полностью вентиль Вь закрывают вентиль на колонку В2 и останавливают вентилятор.

IV. Обработка опытных данных и составление отчета

Гидравлическое сопротивление каждой секции колонки, которое показывает дифманометр D, в действительности представляет собой суммарное сопротивление сетки и собственно слоя. Но так как сопротивление сетки мало по сравнению с сопротивлением слоя, то падение давления в секции, которое показывает дифманометр, с достаточной точностью может быть приравнено сопротивлению слоя Дрсл.

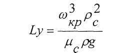
По данным отчетной таблицы строят для каждого из двух слоев график зависимости Дрсл от скорости воздуха (йщ, (см. рис.2) и определяют критическую скорость воздуха сокр для данных частиц. Затем вычисляют критерий Лященко для критической скорости

(13)


 

и по графику (рис.3) находят при е - 0, 4 соответствующее значение критерии Архимеда,

по которому определяют средний диаметр частиц d. Далее по тому же графику находят

предельное значение критерия Лященко при 8=1, позволяющее определить скорость

уноса юун и расход воздуха VyH, при котором происходит унос из колонки загруженных в

нее твердых частиц. Наконец, по формуле (8) определяют вес слоя частиц в каждой

секции.

Необходимые для расчетов значения плотности и вязкости воздуха берут из таблицы

 

 

 

 

 

 

№ по пор. Показание дифмано-метра F ., Расход воздуха (по графику), м3 Скорость воздуха Шф [уравнение 1], м/с Гидравлическое сопротивление (показание дифманометра D Гидравличес­кое сопротивление второй секции (Др2 - дрО
нижней секции Api Г двух секций Др2
Па Па Па
             

V. Содержание отчета

1. Тема

2. Цель

3. Схема лабораторного устройства

4. Таблица экспериментальных данных и расчет

5. Вывод по лабораторной работе

Контрольные вопросы

1. Что такое фиктивная, действительная и критическая скорость газа?

2. Что такое порозность слоя? В каких пределах изменяется порозность взвешенного
слоя?

3. Как изменяется с возрастанием фиктивной скорости газа его действительная скорость
в неподвижном и взвешенном слоях?

4. Какой характер имеет зависимость порозности слоя от расхода газа?

5. При каком соотношении действующих сил твердые частицы переходят во
взвешенное состояние?

6. От чего зависят значения критической скорости и скорости уноса?

7. Почему с увеличением фиктивной скорости воздуха гидравлическое сопротивление
неподвижного слоя растете, а взвешенного слоя остается постоянным?

8. Почему критическая скорость воздуха практически не зависит от высоты слоя?

9. При данном расходе воздуха порозность взвешенного слоя будет больше для
крупных частиц или для мелких?

10. Как рассчитать гидравлическое сопротивление взвешенного слоя, зная вес
неподвижного слоя?

Дополнительная литература

1. Молоканов Ю.К. Процессы и аппараты нефтегазопереработки. М.: Химия,
1987, 368с.

2. Павлов К.Ф., Романков П.Г., Носков А.А. Примеры и задачи по курсу
процессов и аппаратов химической технологии. Л.: Химия, 1987. - 578с

3. Романков П.Г. Руководство к практическим занятиям в лаборатории
процессов и аппаратов химической технологии. Л.: Химия, 1979, - 256с.


Лабораторная работа 13

Тема: Изучение гидравлического сопротивления колонн

Цель работы: изучение гидравлического сопротивления насадок и тарелок различных типов.

1. Общие сведения

В химической и нефтехимической промышленности широко используются колонные аппараты с различной насадкой - кольца Рашига, интолакс, хордовая и др., а также тарельчатые колонны с колпачковыми, клапанными и другими тарелками. Насадка и тарелки оказывают сопротивление потоку паров и газов. От гидравлического сопротивления р зависит расход энергии для подачи газа.

При стекании пленки жидкости по поверхности насадки в аппарате, в котором противотоком движется поток газа (пара), скорость пленки и ее толщина не зависят от скорости газа до тех пор, пока скорость мала. Однако с возрастанием скорости газа сила его трения о поверхность жидкости увеличивается. При этом движение жидкой пленки тормозится, причем ее толщина увеличивается, средняя скорость снижается, а гидравлическое сопротивление аппарата газовому потоку возрастает. При определенной скорости газа (5-10 м/с) достигается равновесие между силой тяжести, под действием которой движется пленка, и слой трения у поверхности пленки, тормозящей ее движение. Это приводит к захлебыванию аппарата; что сопровождается накоплением жидкости в аппарате, начинании ее выброса и резким возрастание гидравлического сопротивления. Точка захлебывания соответствует верхнему пределу скорости для противоточных процессов в аппаратах любых типов.

2. Описание установки

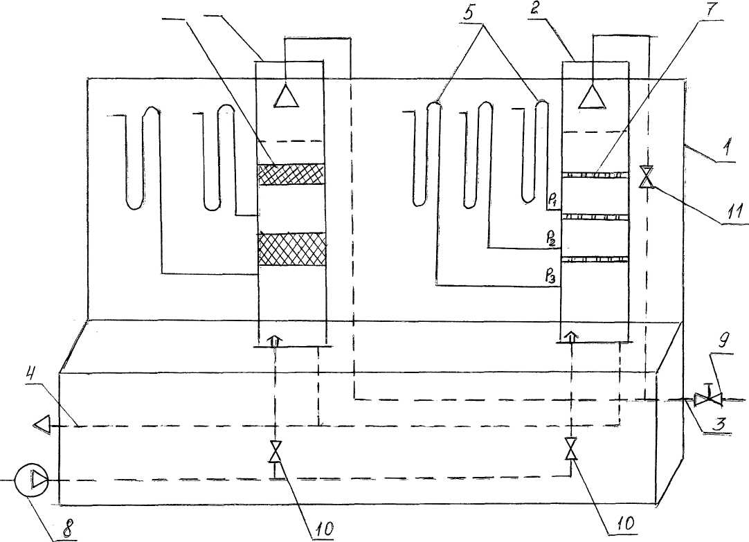
Установка состоит из двух колонн, установленных на лабораторном столе. 1 -ая колонна насадочная, имеющая слой насадки из колец Рашига. 2-ая колонна тарельчатая, имеющая ситчатые тарелки.

Под и над тарелкой имеются отводы и дифманометры 5. К каждой колонне подведена вода через распределительные устройства в верхней части колонны. Расход воды регулируется вентилем.Р (за щитом). Снизу к колоннам подведен воздух. Расход его регулируется задвижками 10.


6 2.


Рис. 1 Схема становки

1. Лабораторный стол

2. Колонны

3. Подвод воды

4. Слив воды

5. Дифманометры


 

6. Насадки

7. Ситчатая тарелка

8. Вентилятор

9. 10 Задвижка
11 Вентиль


3. Методика проведения работы

Приступая к работе закрыть задвижки 10, задвижку 9 на выход воздуха в атмосферу - открыть. Затем включают вентилятор 8. Открывая задвижки 10 в одну из колонн и прикрывая задвижку 9 устанавливают показания дифманометра и записывают показания в мм.вод.ст. под тарелкой или решеткой р, и над тарелкой или насадкой р2, находят гидравлическое сопротивление каждого слоя

_pl = Pl - Р2, АР2 = Р2 - РЗ И Т.Д.

Затем открывают воду и определяют гидравлическое сопротивление насадки или тарелки при различных расходах воды и воздуха, а также в режиме захлебывания, т.е. когда задвижка 10 будет полностью открыта, расход воздуха увеличивают закрытием задвижки 9. Показания дифманометров записывают в таблицу, затем определяют гидравлическое сопротивление слоя рсл или тарелки

Рт-


4. Обработка результатов

Таблица опытных данных

 

 

Показания дифманомет ра мм.вод.ст. Для насадки Для тарелки
рпод насадкой рнад насадкой Ар рпод тарелкой рнад тарелкой Ар
Pi Р2 Рз            

Рсл. = Pi - Р2

По данным стоят график О - расход воздуха (ориентировочно)

Техника безопасности при выполнении работы

1. Электродвигатель включать только сухой рукой с разрешения преподавателя.

2. Работа проводится в присутствии преподавателя или лаборанта.

3. При окончании работы закрыть вентили на входе воды и отключить
электродвигатель.

Контрольные вопросы

1. В чем состоит назначение насадки.

2. Виды насадки и ее сравнительная характеристика.

3. Какие гидродинамические режимы работы насадочных колонн наблюдаются в
зависимости от скорости подачи газа.

4. Наиболее эффективный режим работы насадочных колонн

5. Виды тарелок, их сравнительная характеристика

Литература

1. П.Г. Романков и др. Процессы и аппараты химической промышленности, М.: Химия, 1989-560с.



Поделиться с друзьями:

mylektsii.su - Мои Лекции - 2015-2026 год. (4.215 сек.)Все материалы представленные на сайте исключительно с целью ознакомления читателями и не преследуют коммерческих целей или нарушение авторских прав Пожаловаться на материал