Студопедия

Главная страница Случайная страница

КАТЕГОРИИ:

АвтомобилиАстрономияБиологияГеографияДом и садДругие языкиДругоеИнформатикаИсторияКультураЛитератураЛогикаМатематикаМедицинаМеталлургияМеханикаОбразованиеОхрана трудаПедагогикаПолитикаПравоПсихологияРелигияРиторикаСоциологияСпортСтроительствоТехнологияТуризмФизикаФилософияФинансыХимияЧерчениеЭкологияЭкономикаЭлектроника






Кодер канала






Число разрядов простого кода k, необходимое для кодирования Lуровней равно k=log2L.

Запишем комбинацию простого двоичного кода, соответствующего j-му уровню. Найдём номер уровня, соответствующего некоторому значению сигнала a(ti).

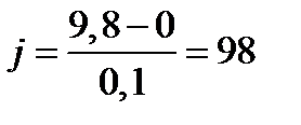
В примере: назначим a(ti)=9, 8B.

Номер уровня:

Представим число jв двоичном виде. Пусть k=7, число 98 в двоичной системе счисления 98=1·26+1·25+0·24+0·23+0·22+1·21+20

Коэффициенты этого представления образуют 7 информационных символов комбинации простого кода:

 

b7 b6 b5 b4 b3 b2 b1
             

Проверочный или контрольный символb8 образуется путём сложения по модулю 2 всех информационных символов. В данном примере b8=1.

В результате получается комбинация избыточного кода с проверкой на чётность.

b8 b7 b6 b5 b4 b3 b2 b1
               

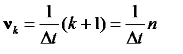
Длительность передачи единичного двоичного символа τ (тактовый интервал) можно найти, если учесть, что за время Δ tмежду двумя отсчётами сообщения передаётся k+1=nсимволов кодовой комбинации отсчёта.

Число двоичных символов, выдаваемых кодером в секнду ν k равно:

В примере тактовый интервал:

Число двоичных символов, выдаваемых кодером в секунду равно:

Также , тогда .

Избыточность ρ к кода с одной проверкой на точность

 

В примере .

 


Поделиться с друзьями:

mylektsii.su - Мои Лекции - 2015-2026 год. (2.301 сек.)Все материалы представленные на сайте исключительно с целью ознакомления читателями и не преследуют коммерческих целей или нарушение авторских прав Пожаловаться на материал