Студопедия

Главная страница Случайная страница

КАТЕГОРИИ:

АвтомобилиАстрономияБиологияГеографияДом и садДругие языкиДругоеИнформатикаИсторияКультураЛитератураЛогикаМатематикаМедицинаМеталлургияМеханикаОбразованиеОхрана трудаПедагогикаПолитикаПравоПсихологияРелигияРиторикаСоциологияСпортСтроительствоТехнологияТуризмФизикаФилософияФинансыХимияЧерчениеЭкологияЭкономикаЭлектроника






Расчет средней мощности и практической ширины спектра модулирующего сигнала






В соответствие с определением средняя мощность за период T прямоугольной последовательности импульсов выражается через интеграл

, (30)

где - длительность импульса; - амплитуда; Q - скважность импульсов.

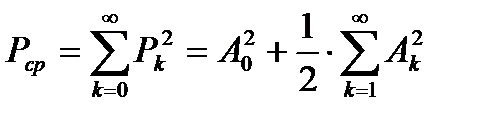
Другой способ нахождения средней мощности заключается в использовании равенства Парсеваля

, (31)

где - мощности; - амплитуды гармоник спектра импульсов.

Используя формулы (30), (31), вводят понятие практической ширины спектра. А именно, практической шириной спектра называют такой интервал частот, в котором сосредоточена основная доля мощности, например, 95% от мощности выражаемой формулой (30). Таким образом, чтобы найти практическую ширину нужно суммировать мощности гармоник в ряде (31) до тех пор, пока, сумма не превысит значений 0.95 от величины мощности в (30). Найденный таким образом наибольший номер гармоники, учтенный в сумме, позволяет вычислить практическую ширину спектра как

, (32)

где - интервал частот между гармониками, равный частоте 1-ой гармоники.

Для рассматриваемого примера варианта задания результаты расчета по формулам (30)-(32), с учетом значений амплитуд гармоник из таблицы 5, имеют вид:

Вт

отсюда = 9 и практическая ширина модулирующего сигнала равна

кГц.

 


Поделиться с друзьями:

mylektsii.su - Мои Лекции - 2015-2026 год. (1.453 сек.)Все материалы представленные на сайте исключительно с целью ознакомления читателями и не преследуют коммерческих целей или нарушение авторских прав Пожаловаться на материал