Студопедия

Главная страница Случайная страница

КАТЕГОРИИ:

АвтомобилиАстрономияБиологияГеографияДом и садДругие языкиДругоеИнформатикаИсторияКультураЛитератураЛогикаМатематикаМедицинаМеталлургияМеханикаОбразованиеОхрана трудаПедагогикаПолитикаПравоПсихологияРелигияРиторикаСоциологияСпортСтроительствоТехнологияТуризмФизикаФилософияФинансыХимияЧерчениеЭкологияЭкономикаЭлектроника






Моделювання випадкових подій






а- простих подій відбулася подія А
 
б- повної групи подій відбулася подія А2
 
в- незалежних подій (за схемою простих подій)   відбулася подія А     відбулася подія В   результат випробування А
 
г- незалежних подій (за схемою повної групи подій) результат випробування А P1 - результат AB, P2 - результат A , P3 - результат B, P4 - результат
 
д- залежних подій (за схемою простих подій)       відбулася подія A   відбулася подія     відбулася подія   відбулася подія B   результат випробування A   результат випробування B
 
е- залежних подій (за схемою повної групи подій) результат P1 - результат AB, P2 - результат A , P3 - результат B, P4 - результат
 
               

6.2. Порядок виконання роботи.

1. В осередок В11 за допомогою рядка формул помістити вираз для моделювання випадкових чисел " СЛЧИС()" (категорія - Математичні, функція - СЛЧИС). Методом протягування скопіювати формулу з В11 в комірки В12-В20

2. Відповідно до виданого завдання помістити в комірки С9-N9 значення ймовірностей: простої події (С9), повної групи подій (D9-G9), складних незалежних подій (H9-I9), складних залежних подій (К9-N9)В комірки, розташовані рядком нижче помістити значення відрізків, утворених шляхом послідовного підсумовування значень імовірностей.

3. У рядок 11 результатів моделювання помістити вираження, побудовані на логічних функціях: «ЕСЛИ» і «И». Для порівняння величини, розташованої усередині інтервалу із границями інтервалів використати композицію «ЕСЛИ» (И(логічне_вираження1; логічне_вираження2) значення_якщо_істина; значення_якщо_неправда). Методом протягування скопіювати формули з рядка 11 у рядки 12-20. Варто пам'ятати, що для збереження адреси використовуваної величини без зміни при автозаповнені (копіювані) перед номером стовпця й рядка необхідно поставити знак $. Наприклад $D$10.

4. Для моделювання повної групи складних незалежних і складних залежних подій необхідно визначити й запрограмувати один результат успішного результату із числа всіх результатів.

5. У рядку 21 запрограмувати обчислення середнього арифметичного по стовпцях. Варто пам'ятати, що будь-які дії зі стовпцем В (рівномірно розподілені випадкові числа в межах (0, 1)) приведуть до змін результатів моделювання.

6. Після завершення моделювання для числа реалізацій N=10 підсумкові результати моделювання представити в складі звіту до лабораторної роботи №6. У звіті до лабораторної роботи повинні бути присутнім: таблиця вихідних даних, підсумкові результати моделювання й висновки про виконану роботу.

 

Вихідні дані для моделювання випадкових подій
№ завдання Імовірність появи подій P(*)
простого повної групи подій складних подій
незалежних залежних
  A A B C D A B C A B B/A
  0.91 0.21 0.47 0.09 0.23 0.31 0.1 0.89 0.37 0.95 0.21
  0.03 0.18 0.35 0.17 0.3 0.45 0.25 0.05 0.46 0.14 0.54
  0.35 0.54 0.31 0.1 0.05 0.39 0.57 0.1 0.93 0.17 0.18
  0.79 0.10 0.15 0.24 0.51 0.53 0.51 0.27 0.15 0.63 0.71
  0.85 0.76 0.07 0.12 0.05 0.1 0.44 0.56 0.77 0.75 0.73
  0.14 0.25 0.25 0.30 0.20 0.49 0.6 0.59 0.17 0.25 0.36
  0.23 0.33 0.33 0.09 0.25 0.09 0.71 0.85 0.61 0.49 0.51
  0.76 0.47 0.23 0.15 0.15 0.8 0.39 0.15 0.55 0.81 0.93
  0.55 0.17 0.37 0.3 0.16 0.16 0.95 0.41 0.24 0.51 0.84
  0.98 0.62 0.16 0.08 0.14 0.73 0.62 0.5 0.85 0.77 0.49

 


 

Контрольні запитання

1)В чому полягає моделювання простої події?

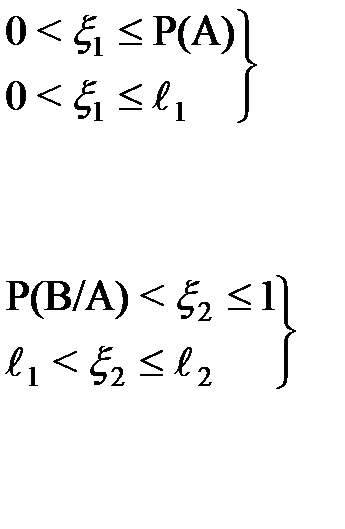
Моделювання простої події A з ймовірністю P(A) полягає в порівнянні рівномірно розподіленого в межах (0, 1) випадкового числа із чисельним значенням імовірності події A. Якщо число не перевищило імовірність P(A), тобто 0< £ P(A), то відбулася подія A.

2) Якими двома способами можна виконати моделювання складних подій?

Моделювання незалежних подій можна виконати двома способами - за схемою простих подій й повної групи подій.

 

3) В чому полягає моделювання складних залежних подій А і В?

Моделювання складних залежних подій A і B з імовірностями P(A), P(B) і умовної імовірності події B за умови, що подія A відбулося - P(B/A), полягає у визначенні одного результату з повної групи спільних випробувань.

4) При якій умові відбувається подія при моделюванні повної групи подій?

Якщо сума ймовірностей подій більші або дорівнюють


 

 

Рис.1 Приклад виконання лабораторної роботи


Поделиться с друзьями:

mylektsii.su - Мои Лекции - 2015-2026 год. (1.732 сек.)Все материалы представленные на сайте исключительно с целью ознакомления читателями и не преследуют коммерческих целей или нарушение авторских прав Пожаловаться на материал