Студопедия

Главная страница Случайная страница

КАТЕГОРИИ:

АвтомобилиАстрономияБиологияГеографияДом и садДругие языкиДругоеИнформатикаИсторияКультураЛитератураЛогикаМатематикаМедицинаМеталлургияМеханикаОбразованиеОхрана трудаПедагогикаПолитикаПравоПсихологияРелигияРиторикаСоциологияСпортСтроительствоТехнологияТуризмФизикаФилософияФинансыХимияЧерчениеЭкологияЭкономикаЭлектроника






Загальні відомості. Мета роботи - вивчення методики статистичного аналізу результатів що залежать від одного якісного чинника (однофакторный дисперсійний аналіз) засобами






ЕЛЕМЕНТИ ДИСПЕРСІЙНОГО АНАЛІЗУ

 

Лабораторна робота №7

 

ОДНОФАКТОРНИЙ ДИСПЕРСІЙНИЙ АНАЛІЗ

 

Мета роботи - вивчення методики статистичного аналізу результатів що залежать від одного якісного чинника (однофакторный дисперсійний аналіз) засобами середовища MathCad.

Загальні відомості

Дисперсійним аналізом називають статистичний аналіз результатів, що залежить від якісних чинників.

Розглянемо випадок однофакторного аналізу.

Нехай, наприклад, ставиться завдання дослідження впливу технології виготовлення якого-небудь виробу на продуктивність (кількість виробів, що випускаються). Технологію природно назвати чинником, а кожну конкретну технологію — рівнем цього чинника. Тут т — повне число технологій, що вживаються. Позначимо — продуктивність, отриману в j-му роціпри використанні і- ї технології ni - число років, протягом яких проводилися спостереження за застосуванням технології ). Зведемо всі дані в таблицю

 

        п
T1 x11 x12 x13 x1п1
Т2 x21 x22 x23 x2п2
Tm xm1 xm2 xm3 xm nm

 

Розглянемо математичну модель, в якій передбачається що кожна випадкова величина може бути представлена у вигляді , де — продуктивність, характерна для технології , а — незалежні випадкові величини, які описують сумарний внесок всіх випадкових чинників, що впливають на підсумкову продуктивність. Найчастіше вважають, що всі тобто мають нормальний розподіл з нульовим математичним очікуванням і з однаковою дисперсією .

Задачу, яку належить вирішити, ставиться таким чином: з'ясувати, чи впливає вибір технології виготовлення виробу на продуктивність чи ні. На математичній мові це означає, що за наслідками експерименту необхідно перевірити справедливість статистичної гіпотези Н0 тому, що всі технології однаково ефективні Н0:

Аналіз результатів буде заснований на зіставленні двох оцінок невідомої дисперсії .

Одна з цих оцінок не залежить від того, чи вірна гіпотеза Н0. Для іншої оцінки це припущення істотне, тобто ця оцінка буде близька до значення тільки тоді, коли гіпотеза Н0 вірна.

Якщо обидві оцінки близькі, то гіпотезу Н0 слід прийняти. Якщо ж оцінки істотно відрізняються, то гіпотезу Н0 слід відкинути.

Побудуємо ці оцінки.

Спочатку для кожного рядка обчислимо середні

а потім величину

Важливо відзначити, що при зроблених припущеннях про випадкові величини величина має - розподіл з п-т ступенями свободи незалежно від того, чи вірна гіпотеза Н0. Отже, перша оцінка для отримана.

Для отримання другої оцінки спочатку знайдемо величину

де п = n1 + n2... + nm, а потім обчислимо

При виконанні гіпотези Н0 величини і незалежні, а величина має -розподіл з n-1 ступенями свободи.

Тепер порівняємо оцінки і . Якщо гіпотеза Н0 вірна, то величина

має розподіл Фішера з п — 1 і п — т ступенями свободи.

Задамося достатньо малим рівнем значущості α і вирішимо рівняння

Порівняємо корінь цього рівняння xα з обчисленим вище значенням FH

При FH > xα гіпотеза Н0 відкидається, інакше — приймається.

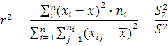
Для оцінки ступеня впливу чинника використовують вибірковий коефіцієнт детермінації r2, який обчислюється за формулою:

де - оцінка повної вибіркової дисперсії:

Коефіцієнт детермінації r2 показує, яку частину в загальній дисперсії величин хij складає частина, обумовлена залежністю від чинника Т.

 


Поделиться с друзьями:

mylektsii.su - Мои Лекции - 2015-2026 год. (1.175 сек.)Все материалы представленные на сайте исключительно с целью ознакомления читателями и не преследуют коммерческих целей или нарушение авторских прав Пожаловаться на материал