Студопедия

Главная страница Случайная страница

КАТЕГОРИИ:

АвтомобилиАстрономияБиологияГеографияДом и садДругие языкиДругоеИнформатикаИсторияКультураЛитератураЛогикаМатематикаМедицинаМеталлургияМеханикаОбразованиеОхрана трудаПедагогикаПолитикаПравоПсихологияРелигияРиторикаСоциологияСпортСтроительствоТехнологияТуризмФизикаФилософияФинансыХимияЧерчениеЭкологияЭкономикаЭлектроника






Синтез регуляторов тока якоря






 

Для синтеза регулятора воспользуемся математической моделью системы регулирования тока якоря, изображенной на рис. 3.2.

 

Типовая методика синтеза ориентирована на трехзвенную структуру прямого тракта САР. Поэтому для данной системы звено объекта имеет следующую передаточную функцию по управлению:

Особенность звена объекта состоит в том, что оно подвержено действию не только прямой связи с регулятором тока, но и внутреннейобратной связи объекта по ЭДС якоря двигателя. Иными словами, структура объекта в данном случае не полностью соответствует идеализированной структурной схеме рис. 2.1. В первом приближении пренебрежем влиянием внутренней обратной связи по ЭДС. Кроме того, будем считать, что в цепи обратной связи но току используется безынерционный датчик с коэффициентом передачи Кдт = 1.

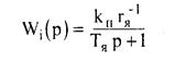
Согласно типовой методике передаточная функция регулятора тока якоря

где Тi=2Тμ, что соответствует условию настойки САР на модульный оптимум.

В итоге получаем регулятор тока со следующей передаточной функцией:

Данной передаточной функции соответствует следующая структурная схема регулятора:

Таким образом, в результате применения стандартной методики получен регулятор тока ПИ - типа.

Использованная стандартная методика не учитывает влияния ЭДС двигателя на процессы регулирования тока. Однако в действительности такое влияние объективно существует, поскольку ток в цепи якоря зависит не только от ЭДС силового преобразовательного агрегата, но и от противо-ЭДС двигателя. В структуре математической модели силовой части это влияние отражается внутренней обратной связью по ЭДС двигателя. Рассмотрим подробнее вопросы учета внутренней обратной связи по ЭДС при синтезе САР тока якоря.

 

 

 


Поделиться с друзьями:

mylektsii.su - Мои Лекции - 2015-2026 год. (2.425 сек.)Все материалы представленные на сайте исключительно с целью ознакомления читателями и не преследуют коммерческих целей или нарушение авторских прав Пожаловаться на материал