Студопедия

Главная страница Случайная страница

КАТЕГОРИИ:

АвтомобилиАстрономияБиологияГеографияДом и садДругие языкиДругоеИнформатикаИсторияКультураЛитератураЛогикаМатематикаМедицинаМеталлургияМеханикаОбразованиеОхрана трудаПедагогикаПолитикаПравоПсихологияРелигияРиторикаСоциологияСпортСтроительствоТехнологияТуризмФизикаФилософияФинансыХимияЧерчениеЭкологияЭкономикаЭлектроника






Свойства функции распределения.






1) , т.к. F(x) – вероятность.

2) F(x) не убывает на все числовой оси.

Док-во: Возьмем х1< x2. Рассмотрим вероятность того, что Х< x2: P(X< x2). A={X< x2}. B={x1< =X< x2}. A+B={X< x2}. События А и В несовместны. Значит, P(A+B)=P(A)+P(B)= =F(x2)=F(x1)+P(x1< =X< x2). Последнее слагаемое в равенстве > =0. Значит, F(x2)> = F(x1). Доказано.

3) P(x1< =X< x2)=F(x2)-F(x1)

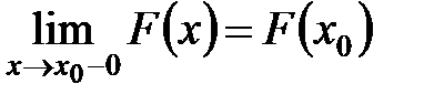
4) Функция распределения F(x) всегда непрерывна.

Док-во: Аксиома 3 из определения вероятности (если А1, А2, … F (F- алгебра ), причем Ai*Aj =Ø для i j, то Р(А12+…) = ) эквивалентна аксиоме непрерывности (если В1, В2, …, Вk, … - последоват. таких событий, что Bn+1 Bn, n=1, 2, … и , то ). Доказать самостоятельно эквивалентность аксиом. Непрерывность функции F(x) будем док-ть с помощью определения предела по Гейне: х1, х2, …, хn – любая последовательность, удовлетворяющая двум условиям:

1) х1< х2< …< хn< …< x0;

2) .

Событие An={xn< =X< x0}, An+1 An. Согласно аксиоме непрерывности:

Р(Аn)=P(xn< =X< x0)=F(x0)-F(xn).

.

По Гейне . Значит, функция непрерывна слева. Доказано.

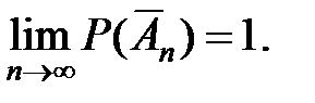
5)

Док-во: ={X< п}, An={X> =n}, An+1 An.

Доказано.



Поделиться с друзьями:

mylektsii.su - Мои Лекции - 2015-2026 год. (1.162 сек.)Все материалы представленные на сайте исключительно с целью ознакомления читателями и не преследуют коммерческих целей или нарушение авторских прав Пожаловаться на материал