Студопедия

Главная страница Случайная страница

КАТЕГОРИИ:

АвтомобилиАстрономияБиологияГеографияДом и садДругие языкиДругоеИнформатикаИсторияКультураЛитератураЛогикаМатематикаМедицинаМеталлургияМеханикаОбразованиеОхрана трудаПедагогикаПолитикаПравоПсихологияРелигияРиторикаСоциологияСпортСтроительствоТехнологияТуризмФизикаФилософияФинансыХимияЧерчениеЭкологияЭкономикаЭлектроника






Двумерные СВ. Условные законы распределения.






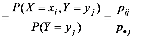
Опр: пусть (Х, У) дискретная двумерная СВ. Условным законом распределения случайной компоненты Х при условии, что компонента У приняла определенное значение называется совокупность возможных значений компоненты Х и соответств этим значениям условных вероятн

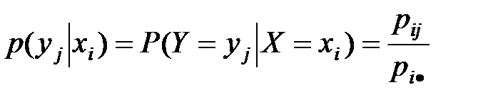
Аналогично определяется условный закон распределения случайной компоненты У при условии, что Х приняло определенное значение .

.

Опр: пусть(Х, У) – непрерывная 2-мерная СВ. Условной плотностью компоненты Х, при условии, что компонента У приняла определенное значение у, называется неотрицательная ф-ция действительной переменной х определенной при всех следующ формулой:

, где - одномерная плотн распр одномерн СВ

Аналогично определяется условная плотность .

Если известна плотность совместного распределения, то условные плотности компонент находятся по следующим формулам:

Условная плотность обладает св-вами:



Поделиться с друзьями:

mylektsii.su - Мои Лекции - 2015-2026 год. (0.526 сек.)Все материалы представленные на сайте исключительно с целью ознакомления читателями и не преследуют коммерческих целей или нарушение авторских прав Пожаловаться на материал