Студопедия

Главная страница Случайная страница

КАТЕГОРИИ:

АвтомобилиАстрономияБиологияГеографияДом и садДругие языкиДругоеИнформатикаИсторияКультураЛитератураЛогикаМатематикаМедицинаМеталлургияМеханикаОбразованиеОхрана трудаПедагогикаПолитикаПравоПсихологияРелигияРиторикаСоциологияСпортСтроительствоТехнологияТуризмФизикаФилософияФинансыХимияЧерчениеЭкологияЭкономикаЭлектроника






Теорема Чебышева.






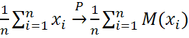
Теорема Чебышева: Пусть - независимые СВ с конечными мат. ожиданиями , причем , тогда

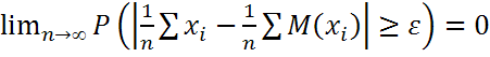
Опр. t wx: val=" Times New Roman" /> < w: i/> < w: sz w: val=" 40" /> < w: sz-cs w: val=" 40" /> < /w: rPr> < m: t> в†’< /m: t> < /m: r> < m: r> < w: rPr> < w: rFonts w: ascii=" Cambria Math" w: h-ansi=" Cambria Math" /> < wx: font wx: val=" Cambria Math" /> < w: i/> < w: sz w: val=" 40" /> < w: sz-cs w: val=" 40" /> < w: lang w: val=" EN-US" /> < /w: rPr> < m: t> X< /m: t> < /m: r> < /m: oMath> < /m: oMathPara> < /w: p> < w: sectPr wsp: rsidR=" 00000000" > < w: pgSz w: w=" 12240" w: h=" 15840" /> < w: pgMar w: top=" 1134" w: right=" 850" w: bottom=" 1134" w: left=" 1701" w: header=" 720" w: footer=" 720" w: gutter=" 0" /> < w: cols w: space=" 720" /> < /w: sectPr> < /w: body> < /w: wordDocument> "> по вероятности, если .

Доказательство: Рассмотрим СВ . Найдем мат. ожидание и дисперсию: ; . Применим неравенство Чебышева: ; . Пусть и получаем утверждение теоремы.

 

 


Поделиться с друзьями:

mylektsii.su - Мои Лекции - 2015-2026 год. (0.862 сек.)Все материалы представленные на сайте исключительно с целью ознакомления читателями и не преследуют коммерческих целей или нарушение авторских прав Пожаловаться на материал