Доверительный интервал для дисперсии нормально распределеннной С.В.
Найдем доверительный интервал с заданной доверительной вероятностью 1-α для дисперсии нормально распределенной С.В. Х.
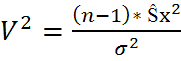
В силу теоремы1 и замечания1 из пункта распределение Хи квадрат С.В.: имеет распределение с степенями свободы.
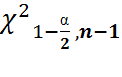
Выберем с1 и с2 такие что
P( < c1)= и P( > c2)= Тогда P( < c2)= 
По таблице ищем распределение Хи квадрат(квантилей)
С2= P( < c1)=1- P( > c1) следовательно P( > c1)=1- С1= С1< т.т.т, когда 
P( < )= 
Т.о. искомый доверительный интервал имеет вид: ( )
43.ПРОВЕРКА ГИПОТЕЗ О ЗАКОНЕ РАСПРЕДЕЛЕНИЯ. КРИТЕРИЙ СОГЛАСИЯ (Пирсона).
Ранее рассматривались гипотезы, относящиеся к отдельным пар-рам С.В. При этом закон распределения предполагался известным. Теперь рассмотрим критерий критерии согласия, которые применяются для проверки гипотез о том, что распределение изучаемой С.В., подчиняется некоторому извест-ному закону распре-деления, т.е. о кри-териях, кот. Позво-ляют по данным выборки определить распределена ли С.В. по некоторому закону распределе-ния [известному] .
Пусть исследуемая С.В. и тре-буется проверить гипотезу о том, что эта С.В. распределена по закону распределения [известная функция].
Для проверки гипотезы проводиться выборка, состоящая из наблюдений за . По выборке можно построить эмпирическое распределение. Срав-нение эмпирических и теоретических распределений производятся с помо-щью специально подобранной С.В. критерия согласия. Существует несколько критериев согласия: (Пирсона), Колмогорова и др.
1. Критерий согласия (Пирсона)
Пусть заданный уровень значи-мости. Множество зн-ний С.В. разобьем на непересекающихся частей . Эти множества представляют собой интервалы - для непр. С.В. – либо группы отдельных зн-ний – для дискретной С.В.
Предполагая известным теорети-ческий закон распределения 
можно для каждого определить теоретическую вероятность попадания С.В. в множество .Тогда теоретическое число значе-ний С.В. попавших в множество , можно рассчитать по формуле 
Эмпирические частоты будем обозначать . Если эмпирические частоты сильно отличаются от теоре-тических, то проверяемую гипоте-зу следует отвергнуть. А в против-ном случае принять. Пирсон доказал, что при статистика имеет распределение с степенями свободы. Но это имеет место, если все параметры распределения предполагаются извест-ными.
Если же параметры распределения оцениваются по выбо-рке, то С.В. при имеет распреде-ление с сте-пенями свободы, где - это число параметров распределения , оцениваемых по выборке. Таким образом, в качестве меры расхождения м/у и исп. крите-рий .Правило применения 
рассчитываем значение по выбор-ке. По таблице - распределения определяем зн-ние .Если > , то гипотеза отвер-гается. В противном случае , то гипотеза принимается.
Т.к. статистика имеет - распределение лишь при , то необходимым условием применения критерия (Пирсона) явл. выпол-нение нер-ва 5. Если < 5, то нужно объединить множества так, чтобы 5 выполнялось.
Таблица - распределения соста-влена для числа степ. свободы < 30, то используется следующая ТЕОРЕМА ФИШЕРА: величина при степенях свободы распределена асимп-тотически [при ] нормально с мат. ожиданием и диспе-рсией .
|