Распределение выборки. Эмпирическая функция распределения.
Пусть эксперимент описывается дискр. СВ Х и пусть получена выборка объема n, в котором значения встретилось раз, значения раза, …, значение раз, здесь все подразумеваем различные. Числа называются абсолютными частотами собственных значений . А сами значения - вариантами. Очевидно, что выполняются: . Составим следующую таблицу:
| Варианты
|
| ..
|
| | Абсол-ые частоты
|
| ..
|
| Задание выборки в таком виде называют дискретным статистическим рядом распределения. Наряду с абсолютными частотами рассматриваются относительные частоты или частности. частности. Составим аналогичную таблицу, только вместо абсолютных частот, ставят частности. Так тоже задается дискретный статистический ряд распределения. В прямоугольной декартовой системе координат построить точки с координатами ( ).РИСУНОК. Соединим точки линиями, получим ломаную линию- эта линия полигон частот. Аналогично строится полигон относительных частот.
Эмпирическая функция распределения. Пусть эксперимент описывается СВ Х и пусть получена выборка объема n. Опр: Эмпирической функцией распределения называется определенная для всех действительных X функция: , где - число значений выборки меньших х. Свойства эмпирической функции распределения: 1) ; 2) не убывает; 3) , при , где - минимальное значение выборки; 4) , при , где максимальное значение выборки. Построим график эмпирической функции распределения. Пусть эксперимент описывается СВ Х (дискретная) получена выборка - все ее различные значения. . - соответствующие абсолютные частоты, тогда График имеет ступенчатый вид. РИСУНОК.
Пусть эксперимент описывает НСВ Х. Разбиваем диапазон полуинтервала на , вычисляют значение функции на концах этих интервалах: ; ; ; =1. Строим точки с координатами ( ).
? 35. Точечные оценки. Несмещенные, эффективные, состоятельные оценки.
Выборка (х1,.., xn) явл реализ случ вектора (Х1,.., Хn) каждая числовая хар-ка выборки есть реализация соотв св кот явл фу-ия от св Х1…Хn эта ф-ия наз выборочной ф-ей или статической. В статистике, соотв основн числовым хар-ам выборки имеют те же назв и обозн след символ: 1.средняя арифм выборки 
2.выбор дисп: 
3.мода: наиболее часто встреч зн-ие, прним св Х1,.., Хn
4.медиана: зн-ие св стоящ в серед ранжированногого ряда значенийий св Хi. Пусть треб подобрать ф-ию распредел для св Х. Выбрав вид распред (нормальн, показат, и др), исходя из анализа выбор (по виду гистограммы или полигона частот) мы по данным вбор долж оценить пар-ры сотв распред. На прим для нормал это m, σ. Решение вопроса о «наилуч» оценке неизв пар-ра и составлят теорию статистического оценивания
Опр. Выбор числовая хар-ка, приним при оценке неизв рар-ра гениральн совокуп наз точечной оценкой. Для неизвест пар-ра может много числов хар-к выбор, кот вполне подход для того чтобы служ оценками наприм для оценив мат ожидан m (Х) м.
показ-ся приемлим ср арифр выбор, медиана, мода.
усл кот должны удовлетв оценки: несмещенн, эффективн и состоят-ть. Оценка наз несмещен если , где истинное неизв зн-ие пар-ра. В др случ говорчто оценка смещена. (несмещ оценкой мат ожидан m (Х)=а явл ср арифм ). Если более одной несмещ оценки, то выбир более эффектив. Оценка явл более эффектив чем есл 
Более эффект явл та несмещ оценка кот имеет меньш дисперсию. Оценка наз состоят оценкой пар-ра , если при n→ она сход по вероят к т.е. при n→ Ср. арифм явл состоят оценкой мат ожидан M (X)=a т.к.. 
n→ 
Пример1. может служ оценкой мат ожидан M (X) генирал совокуп 
Пример2. несмещ оценкой мат ожидан m(X)= a, явл ср. орифм 
Пример3. ср. орифм явл наибол эффект оценкой мат ожидан Все др оценки M( ), будут облад больш дисперс 
36. Оценка математического ожидания случайной величины, её свойства
37. Оценка дисперсии случайной величины.? их свойства





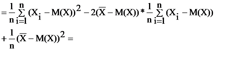
Док-жем, что -состоятельн. оценка дисперсий случ. величины х.

Рассм. I: это есть среднее арифметическое n независимых одинаково распределенных СВ согласно з-ну больших чисел (следствие т.Чебышева) при имеем:
(1)
Рассм. II: также в силу закона больших чисел. , поэтому (2)
Из выше сказанного следует, что . Т.о. -состоятельная оценка(хотя и смещенная).
|