Студопедия

Главная страница Случайная страница

КАТЕГОРИИ:

АвтомобилиАстрономияБиологияГеографияДом и садДругие языкиДругоеИнформатикаИсторияКультураЛитератураЛогикаМатематикаМедицинаМеталлургияМеханикаОбразованиеОхрана трудаПедагогикаПолитикаПравоПсихологияРелигияРиторикаСоциологияСпортСтроительствоТехнологияТуризмФизикаФилософияФинансыХимияЧерчениеЭкологияЭкономикаЭлектроника






Распределение Стьюдента.






Пусть Х1, Х2, …, Хn нормально распределенные случайные величины, m=0, σ =1.

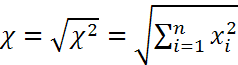
Тогда СВ – соотношение Стьюдента. А ее распределение – распределение Стьюдента с ν =n степенями свободы.

Замечание. СВ Т часто записывают где .
График плотности:

Внешне напоминает график плотности нормального стандартного распределения. При больших ν график центрирован нормальной кривой (т.е. m=0, σ =1). Составлена таблица . Построим график: S1+S2=α (α -заданный) уровень вероятности, - квантили распределения Стьюдента.
41. Доверительный интервал для мат. ожидания нормально распределенной С.В.( -неизвестно)

Опр. Доверительным интервалом для параметра наз-ся интервал (обозн. , ), содержащий (накрывающий) истинное значение неизвестного параметра с заданной вероятностью p=1-

Опр: Число 1- наз-ся доверительной вероятностью.

Постановка задачи: Пусть наблюдается нормальное распределение С.В. Х.произведена выборка обьема n.Требуется найти доверительный интервал с заданной доверительной вероятностью 1- для мат. ожидания m С.В. Х

Для этого найдем такое > 0, что P()= 1- (**)

Ищем , чтоб вып-ось это равенство

P()= 1- (**)

1)Пусть неизвестна, т.е. .В силу Теоремы2 из пункта распределение Стьюдента С.В.

, где - выбор среднего квадратичного отклонения имеет распределение Стьюдента с степенями свободы

Т.к. = следовательно =

- распределение по Стьюденту с степенями свободы

<

Ищем чтобы: P()= 1-

P()= 1-

P()=

По таблице находим такое значение что P()= , Тогда следовательно

Тогда искомый доверительный интервал будет иметь вид

()

 


40. Доверительный интервал для мат. ожидания нормально распределенной С.В.( -известно)

Опр. Доверительным интервалом для параметра наз-ся интервал (обозн. , ), содержащий (накрывающий) истинное значение неизвестного параметра с заданной вероятностью p=1-

Опр: Число 1- наз-ся доверительной вероятностью.

Постановка задачи: Пусть наблюдается нормальное распределение С.В. Х.произведена выборка обьема n.Требуется найти доверительный интервал с заданной доверительной вероятностью 1- для мат. ожидания m С.В. Х

1)Пусть известно, т.е. . распределена нормально с параметрами m и

Тогда * с параметрами 0 и 1.

P()= 1-α

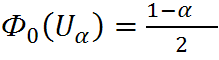
P()=2 ()

-Находим по таблице

следовательно

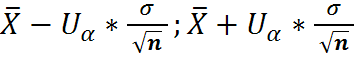
Т.О. искомый доверительный интервал имеет вид:

()

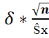
Замечание: U из формул и следует что с увеличением n точность оценки возрастает.

 



Поделиться с друзьями:

mylektsii.su - Мои Лекции - 2015-2026 год. (0.445 сек.)Все материалы представленные на сайте исключительно с целью ознакомления читателями и не преследуют коммерческих целей или нарушение авторских прав Пожаловаться на материал