Студопедия

Главная страница Случайная страница

КАТЕГОРИИ:

АвтомобилиАстрономияБиологияГеографияДом и садДругие языкиДругоеИнформатикаИсторияКультураЛитератураЛогикаМатематикаМедицинаМеталлургияМеханикаОбразованиеОхрана трудаПедагогикаПолитикаПравоПсихологияРелигияРиторикаСоциологияСпортСтроительствоТехнологияТуризмФизикаФилософияФинансыХимияЧерчениеЭкологияЭкономикаЭлектроника






Дискретизация непрерывной автоматической системы






 

Преимущественное применение в настоящее время цифровых систем управления обусловлено достижениями в области цифровой обработки данных. Вместе с тем подавляющее большинство физических процессов по своей природе характеризуется непрерывной зависимостью от времени.

Если выходной и входной сигналы автоматической системы (АС) связаны непрерывной функциональной зависимостью, то такая АС называется непрерывной. Выходные сигналы некоторых АС, даже при поступлении на их вход непрерывного сигнала, могут изменяться скачком – дискретно. Такие АС называются дискретными. Дискретными считаются и такие АС, у которых выходные сигналы непрерывны, а входные, согласно принципу действия, имеют скачки. Если в соответствии с принципом действия дискретными являются и входные, и выходные сигналы, то такая АС называется чисто дискретной.

Если сигналы в АС имеют вид импульсов, то она называется импульсной.

Дискретный сигнал (в том числе и импульсный) образуется из непрерывного в результате квантования или по времени, или по уровню, или и по времени, и по уровню.

Квантование – замена сигнала его значениями на множестве дискретных точек.

Кантование по уровню связано с нелинейными операциями. АС с таким квантованием становится нелинейной. Квантование по времени при определённых условиях может считаться линейной операцией. Тем не менее, и в этом случае могут происходить неприятные явления.

Пусть синусоида квантуется два раза за период (рис. 1, а). Тогда дискретное изображение синусоиды неотличимо от нулевого сигнала. Может возникать также эффект «поглощения частоты» Два сигнала с различными частотами (0, 1 и 0, 9 Гц) могут иметь одинаковые значения во все моменты квантования (рис. 1, б).

 

а) б)

Рисунок 1 - Потеря информации в результате медленного квантования

 

Для установления связи между непрерывными и дискретными АС производят д и с к р е т и з а ц и ю элементов АС (или ПФ АС в целом).

Дискретизировать объект (то есть строить его дискретную модель) нужно, так как есть методы расчёта цифровых регуляторов, работоспособные только с дискретной моделью объекта.

Дискретизировать регулятор нужно, во – первых, с целью моделирования (выбора периода дискретности, настройки его коэффициентов для достижения желаемого качества работы АС), во – вторых, для реализации цифрового регулятора различными способами.

Методы дискретизации основаны на преобразовании по некоторому адекватному алгоритму s- передаточной функции исходной аналоговой системы

(1)

в z- передаточную функцию дискретной системы:

. (2)

Переменные z и s связаны соотношением .

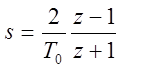
Разные методы обладают разными возможностями и так или иначе изменяют структуру ПФ (1) – добавляют нули (увеличивают степени полиномов числителя и (или) знаменателя W (z). Чаще всего применяют метод билинейного z-преобразования (преобразования Тастина), при котором исходная дробно-рациональная передаточная функция (1) с помощью подстановки

(где Т 0 - период дискретности) преобразуется в дробно-рациональную же передаточную функцию вида

. (3)

Заметим, что коэффициенты W (z) будут зависеть от Т 0.

 

 


Поделиться с друзьями:

mylektsii.su - Мои Лекции - 2015-2026 год. (1.267 сек.)Все материалы представленные на сайте исключительно с целью ознакомления читателями и не преследуют коммерческих целей или нарушение авторских прав Пожаловаться на материал