Студопедия

Главная страница Случайная страница

КАТЕГОРИИ:

АвтомобилиАстрономияБиологияГеографияДом и садДругие языкиДругоеИнформатикаИсторияКультураЛитератураЛогикаМатематикаМедицинаМеталлургияМеханикаОбразованиеОхрана трудаПедагогикаПолитикаПравоПсихологияРелигияРиторикаСоциологияСпортСтроительствоТехнологияТуризмФизикаФилософияФинансыХимияЧерчениеЭкологияЭкономикаЭлектроника






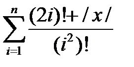
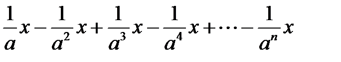
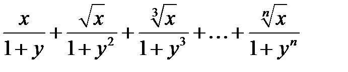
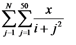
Формулювання задачі. Скласти програму для обчислення суми ряду при заданих значеннях n, X згідно даних варіанту (табл






Скласти програму для обчислення суми ряду при заданих значеннях N, x згідно даних варіанту (табл. 2).

Таблиця 2

N х
1. 30 0, 25
2. 10 0, 83
3. 10 0, 37
4. 20 0, 54
5. 20 0, 41
6. 10 1, 25
7. 30 0, 75
8. 10 0, 58
9. 15 -1, 34
10. 15 0, 45
11. 40 0, 77
12. 15 0, 34
13. 15 0, 65
14. 15 1, 12
15. 23 2
16. 20 0, 28
17. 30 0, 38
18. 20 0, 47
19. 15 1, 04
20. 10 0, 46
21. 20 0, 91
22. 30 0, 43
23. 15 1, 32
24. 25 -0, 44
25. 10 -0, 25
26. 20 1, 55
27. 20 0, 88
28. 15 0, 51
29. 16 1, 04
30. 20 0, 52

ПРИКЛАД ВИКОНАННЯ

Скласти програму на мові M для обчислення суми членів ряду

n=іnputdlg({‘ a= ‘, ’ n=‘, ’ S=‘}, ’задача 4’, 1);

a=str2double(n(1, 1));

n=str2double(n(2, 1));

S=0;

for і=1: n

S=S+a^і

End

a=num2str(a);

n=num2str(n);

S=num2str(S);

n=іnputdlg({‘ a= ‘, ’n=‘, ’ S=‘}, ’задача 4’, 1, {a, n, S});


Завдання №5. ОПЕРАЦІЇ З МАТРИЦЯМИ І МАСИВАМИ

МЕТА РОБОТИ: освоїти методику роботи з векторами і матрицями.


Поделиться с друзьями:

mylektsii.su - Мои Лекции - 2015-2026 год. (1.591 сек.)Все материалы представленные на сайте исключительно с целью ознакомления читателями и не преследуют коммерческих целей или нарушение авторских прав Пожаловаться на материал