Студопедия

Главная страница Случайная страница

КАТЕГОРИИ:

АвтомобилиАстрономияБиологияГеографияДом и садДругие языкиДругоеИнформатикаИсторияКультураЛитератураЛогикаМатематикаМедицинаМеталлургияМеханикаОбразованиеОхрана трудаПедагогикаПолитикаПравоПсихологияРелигияРиторикаСоциологияСпортСтроительствоТехнологияТуризмФизикаФилософияФинансыХимияЧерчениеЭкологияЭкономикаЭлектроника






Формулювання задачі 1






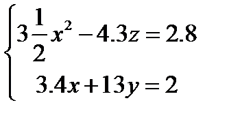
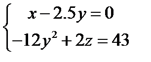
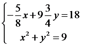
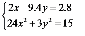
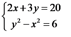
Розв’язати систему рівнянь графічним способом.

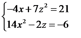
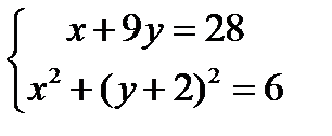
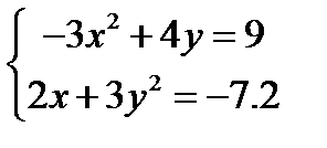
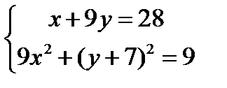
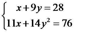
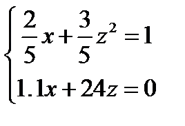
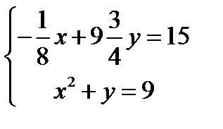
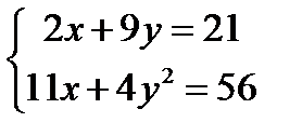
1. 2.
3. 4.
5. 6.
7. 8.
9. 10.
11. 12.
13. 14.
15. 16.
17. 18.
19. 20.
21. 22.
23. 24.
25. 26.
27. 28.
29. 30.

ПРИКЛАД ВИКОНАННЯ

Розв’язати систему рівнянь графічним способом. Для цього необхідно виконати наступний порядок дій:

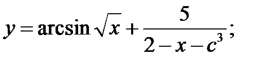
1) Перепишіть рівняння системи у вигляді y=f(x). Наприклад, ; ;

2) Побудуйте в одному графічному вікні графіки записаних функцій (команда plot( …).

3) З побудованого графіку введіть координату точки перетину, яка і буде розв’язком заданої системи gіnput ().

4) Для більшої точності розв’язку рекомендується звузити область пошуку (х) і повторити пункти 1-3.

 

ФОРМУЛЮВАННЯ ЗАДАЧІ 2

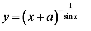
Побудувати графік функції при зміні аргументу х від -N до N.

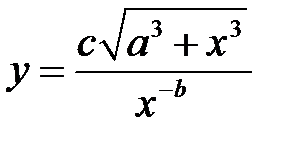
Таблиця 4

Вигляд функції Вигляд функції
1. 16.
2. 17.
3. 18.
4. 19.
5. 20.
6. 21.
7. 22.
8. 23.
9. 24.
10. 25.
11. 26.
12. 27.
13. 28.
14. 29.
15. 30.

Поделиться с друзьями:

mylektsii.su - Мои Лекции - 2015-2026 год. (1.249 сек.)Все материалы представленные на сайте исключительно с целью ознакомления читателями и не преследуют коммерческих целей или нарушение авторских прав Пожаловаться на материал