Студопедия

Главная страница Случайная страница

КАТЕГОРИИ:

АвтомобилиАстрономияБиологияГеографияДом и садДругие языкиДругоеИнформатикаИсторияКультураЛитератураЛогикаМатематикаМедицинаМеталлургияМеханикаОбразованиеОхрана трудаПедагогикаПолитикаПравоПсихологияРелигияРиторикаСоциологияСпортСтроительствоТехнологияТуризмФизикаФилософияФинансыХимияЧерчениеЭкологияЭкономикаЭлектроника






Лабораторная работа №3. Процесс гибели и размножения






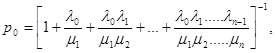
Процесс гибели и размножения. Процессом гибели и размножения называется Марковский процесс с непрерывным временем, размеченный граф состояний которого представлен на рис. 2.2.

 

λ 0 λ 1 λ 2 λ k-1 λ k λ n-1

 

… …

µ1 µ2 µ3 µk µk+1 µn

 

 

Рис.2.2 Граф процесса гибели и размножения

Все состояния системы являются существенным, сообщающимися, следовательно, существуют предельные вероятности состояний.

Система уравнений для предельных вероятностей состояний имеет вид:

Решив эту систему, получим выражения для предельных вероятностей состояний:

(6)

 

Пример 3 Автоматизированная система управления (АСУ) продажи железнодорожных билетов состоит из трех параллельно работающих ЭВМ и нормально функционирует, если работает хотя бы одна ЭВМ. Среднее время безотказной работы одной ЭВМ – 5 суток, среднее время ремонта одной ЭВМ –3 суток. Поток отказов каждой ЭВМ простейший, время ремонта распределено по показательному закону. В начальный момент времени все три ЭВМ исправны. Найти среднюю производительность АСУ, если выход из строя одной ЭВМ снижает производительность АСУ на 10 %, а при отказе трех ЭВМ продажа билетов производится вручную, обеспечивая 20 % общей производительности.

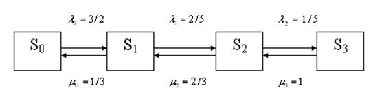
Решение. Обозначим состояния АСУ по числу вышедших из строя ЭВМ: – три ЭВМ исправны; – одна ЭВМ вышла из строя; – две ЭВМ вышли из строя; – три ЭВМ вышли из строя.

Потоки отказов восстановлений простейшие. Следовательно, промежуток времени между отказами и промежуток времени между восстановлениями распределены по показательному закону с параметрами (интенсивностями) и соответственно.

Они вычисляются по формулам

где – среднее время безотказной работы ЭВМ; – среднее время восстановления ЭВМ.

По условию задачи суток, суток. Следовательно,

.

Размеченный граф состояний изображен на рис. 2.3.

 

Рис. 2.3. Размеченный граф состояний

 

Каждая из ЭВМ может за время выйти из строя с вероятностью . Следовательно, за время АСУ может перейти из состояния в состояние с вероятностью (из строя может выйти одна из трех ЭВМ). Тогда интенсивность перехода АСУ из состояния в состояние (коротко обозначим ) будет: .

Аналогично найдем: – интенсивность перехода ; – интенсивность перехода ; соответственно интенсивности переходов .

В описанной системе происходит процесс гибели и размножения с числом состояний . Используем формулы (6) для вычисления предельных вероятностей состояний:

Проверка: .

Выводы. Средняя производительность АСУ в установившемся режиме

ВАРИАНТЫ К ТИПОВОМУ РАСЧЕТУ

 


Поделиться с друзьями:

mylektsii.su - Мои Лекции - 2015-2026 год. (2.737 сек.)Все материалы представленные на сайте исключительно с целью ознакомления читателями и не преследуют коммерческих целей или нарушение авторских прав Пожаловаться на материал