Студопедия

Главная страница Случайная страница

КАТЕГОРИИ:

АвтомобилиАстрономияБиологияГеографияДом и садДругие языкиДругоеИнформатикаИсторияКультураЛитератураЛогикаМатематикаМедицинаМеталлургияМеханикаОбразованиеОхрана трудаПедагогикаПолитикаПравоПсихологияРелигияРиторикаСоциологияСпортСтроительствоТехнологияТуризмФизикаФилософияФинансыХимияЧерчениеЭкологияЭкономикаЭлектроника






Лабораторная работа № 8






Система № 2 — «парк приема – горка» (система № 2 таблица 1).

 

  n   (n-1)   (n-2)   (n-3)   (n-4)    
х 0 х 1 х 2 х 3 х 4 х 5 х 6
    2   2   2   2   2  

 

х 0 – горка не занята;

х 1 – на горке один состав, очереди нет;

х 2 – на горке один состав, 1 состав в очереди;

х 3 – на горке один состав, 2 состава в очереди;

х 4 – на горке один состав, 3 состава в очереди;

х 5 – на горке один состав, 4 состава в очереди;

х 6 – на горке один состав, 5 составов в очереди.

n-число подъездных путей(n=6) к горке и два подгорочных локомотива.

В приведенных выше расчетах для системы «парк приема – горка» не учитывался простой поездов по неприему станцией, в то время как он может иметь место.

С учетом этого расчет показателей системы для пуассоновского входящего потока поездов и показательного времени их обслуживания может производиться по формулам:

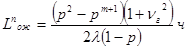
– средняя длина очереди на путях прибытия

,

где т – число путей в парке приема;

– среднее число поездов, задержанных по неприему станцией из-за недостатка приемных путей и недостаточной мощности горки

;

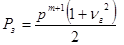
– вероятность задержки поездов по неприему станцией

;

– средний простой поездов на путях прибытия в ожидании расформирования

;

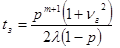
– средний простой поездов по неприему станцией

;

– сумма среднего времени ожидания на путях приема и среднего времени задержки по неприему станцией

.

Для пуассоновского входящего потока и произвольного распределения времени обслуживания (расформирования)

– среднее число составов, ожидающих расформирования в парке прибытия

;

– средний простой по неприему станцией

;

– вероятность задержки поездов по неприему станцией

.

Для эрланговского входящего потока и эрланговского времени распределения расчет показателей системы производится по формулам, приведенным в предыдущем разделе

ВЫВОДЫ:


Поделиться с друзьями:

mylektsii.su - Мои Лекции - 2015-2026 год. (5.019 сек.)Все материалы представленные на сайте исключительно с целью ознакомления читателями и не преследуют коммерческих целей или нарушение авторских прав Пожаловаться на материал