Студопедия

Главная страница Случайная страница

КАТЕГОРИИ:

АвтомобилиАстрономияБиологияГеографияДом и садДругие языкиДругоеИнформатикаИсторияКультураЛитератураЛогикаМатематикаМедицинаМеталлургияМеханикаОбразованиеОхрана трудаПедагогикаПолитикаПравоПсихологияРелигияРиторикаСоциологияСпортСтроительствоТехнологияТуризмФизикаФилософияФинансыХимияЧерчениеЭкологияЭкономикаЭлектроника






Лабораторная работа № 7






Расчет показателей системы «прилегающие участки – парк приема»

 

Расчет показателей системы рассмотрим на примере системы «прилегающий участок– парк приема» (система № 1 таблица 1).

Дано С прилегающего участка в парк приема станции в сутки поступает 72 поезда (N). В парке 7 путей. Осмотр и ремонт составов выполняют две бригады вагонников, продолжительность осмотра состава одной бригадой t обр =0, 5 ч.

Требуется Определить состояние системы массового обслуживания, среднее число составов, ожидающих обработки, среднюю длину очереди для пуассоновского входящего потока поездов и показательного времени обслуживания (осмотра, ремонта).

Решение

1) определим интенсивность входящего потока, среднюю длину очереди для пуассоновского входящего потока требований (поездов) в единицу времени (ч):

2) найдем интенсивность обслуживания требований (поездов):

3) определим устойчивость работы системы:

– система работает устойчиво,

где n – число бригад(n = 2).

 

4) составим граф состояния системы:

               
х 0 х 1 х 2 х 3 х 4 х 5 х 6 х 7
    2   2   2   2   2   2  

 

Здесь х 0 – система свободна, поездов в парке приема нет;

х 1 – в парке приема 1 поезд, занята одна бригада; очереди нет;

х 2 – в парке приема 2 поезда, заняты 2 бригады; очереди нет;

х 3 – заняты 2 бригады, в очереди 1 поезд;

х 4 – заняты 2 бригады, в очереди 2 поезда;

х 5 – заняты 2 бригады, в очереди 3 поезда;

х 6 – заняты 2 бригады, в очереди 4 поезда;

х 7 – заняты 2 бригады, в очереди 5 поездов.

Дифференциальные уравнения, описывающие это состояние:

,

,

,

,

,

,

,

.

При левые части уравнений превратятся в нули, т.е. система дифференциальных уравнений превратится в систему алгебраических уравнений. Разделив каждое уравнение на и обозначим , получим:

;

;

;

;

;

;

;

.

;

;

;

;

;

;

.

5) определим состояние системы p 0, p 1, p 2,..., p 7,

;

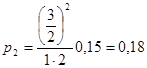
;

;

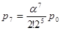
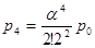
;

 

аналогично p 4 = 0, 10; p 5 = 0, 09; p 6 = 0, 06; p 7 = 0, 05.

Сумма всех состояний системы:

0, 15 + 0, 23 + 0, 18 + 0, 14 + 0, 10 + 0, 09 + 0, 06 + 0, 05 = 1.

6) найдем среднее число составов в очереди:

состава.

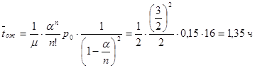
7) определим среднее время ожидания обработки состава:

.

Средняя потеря времени всеми заявками в сутки:

.

ВЫВОДЫ:

Поскольку средняя потеря времени всеми заявками в сутки в системе — « прилегающий участок – парк приема»велика, то следует изменить технологию работы ПТО вагонов и приёмосдатчиков.

 

Для других систем составим лишь графы их состояния, а все последующие расчеты предлагаем студенту выполнить самостоятельно, пользуясь указаниями, приведенными выше.


Поделиться с друзьями:

mylektsii.su - Мои Лекции - 2015-2026 год. (0.873 сек.)Все материалы представленные на сайте исключительно с целью ознакомления читателями и не преследуют коммерческих целей или нарушение авторских прав Пожаловаться на материал