Студопедия

Главная страница Случайная страница

КАТЕГОРИИ:

АвтомобилиАстрономияБиологияГеографияДом и садДругие языкиДругоеИнформатикаИсторияКультураЛитератураЛогикаМатематикаМедицинаМеталлургияМеханикаОбразованиеОхрана трудаПедагогикаПолитикаПравоПсихологияРелигияРиторикаСоциологияСпортСтроительствоТехнологияТуризмФизикаФилософияФинансыХимияЧерчениеЭкологияЭкономикаЭлектроника






Обыкновенные дроби и дробные выражения






 

Итак, какие бывают дроби?

Дроби бывают трёх видов. Обыкновенные, десятичные и смешанные числа (содержащие целую и дробную части).

 

Десятичные дроби и смешанные числа всегда можно перевести в обыкновенные дроби. Обратный перевод не всегда возможен. Смешанные числа практически не используются в старших классах. Для того, чтобы с ними работать, их всяко надо переводить в обыкновенные («неправильные») дроби. Выбор вида дробей для работы с заданием зависит от этого самого задания. При наличии разных видов дробей в одном задании, самое надёжное - перейти к обыкновенным дробям.

 

Всё многообразие преобразований дробей обеспечивается одним-единственным свойством! Оно так и называется, основное свойство дроби: если числитель и знаменатель дроби умножить (разделить) на одно и то же число, дробь не изменится.

 

Кстати, если в дроби стоят всякие логарифмы, синусы и прочие буковки, это ничего не меняет. В том смысле, что все действия с дробными выражениями ничем не отличаются от действий с обыкновенными дробями!

 

 

Любое целое число можно записать в виде дроби. В числителе - само число, в знаменателе - единица. С буквами - то же самое.

 

Иногда вместо горизонтальной чёрточки ставят наклонную черту: 1/2, 3/4, 19/5, ну, и так далее. Чёрточка, что горизонтальная, что наклонная, означает деление верхнего числа (числителя) на нижнее (знаменатель).

 

Иногда в примерах возникает такой казус как «трёхэтажная дробь»:

 

 

Т.е. всё зависит от того какую черту считать главной.

 

Десятичные дроби

С десятичными дробями всё просто. Как слышится, так и пишется!

Например:

Ноль целых, двадцать пять сотых (0, 25) так и пишем: 25/100.

Сокращаем (делим числитель и знаменатель на 25),

получаем обычную дробь: 1/4.

Любую десятичную дробь можно превратить в обыкновенную.

Но н е каждая обыкновенная дробь переводится в десятичную!

 

 

 

Для работы со смешанными числами их нужно перевести в обыкновенные (неправильные) дроби. Как это сделать? Надо знаменатель дробной части умножить на целую часть и прибавить числитель дробной части. Это будет числитель обычной дроби. А знаменатель? Знаменатель останется тем же самым. Звучит сложно, но на деле всё элементарно.

 

Например:

 

Действия с обыкновенными дробями:

 

Сложение и вычитание дробей

 

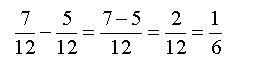
Сложить (отнять) дроби с одинаковыми знаменателями просто: при сложении (вычитании) знаменатель не меняется. Числители складываются (вычитаются) и дают числитель результата. Например:

 

Или:

 

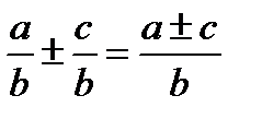
В общем виде:

 

 

А если знаменатели разные? Тогда, используя основное свойство дроби делаем знаменатели одинаковыми! Это называется «приведём к общему знаменателю».

Например:

или

или

 

То же самое происходит если надо сложить два дробных выражения:

 

Надо сделать знаменатели одинаковыми. Так и записываем, черту дроби, сверху пустое место оставим, потом допишем, а снизу пишем произведение знаменателей, чтобы не забыть:

 

 

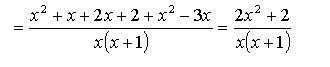
И, конечно, ничего в правой части не перемножаем, скобки не открываем! А теперь, глядя на общий знаменатель правой части, соображаем: чтобы в первой дроби получился знаменатель х(х+1), надо числитель и знаменатель этой дроби умножить на (х+1). А во второй дроби - на х. Получится вот что:

 

 

Обратите внимание! Здесь появились скобки! Скобки появляются потому, что мы умножаем весь числитель и весь знаменатель! А не их отдельные кусочки...

В числителе правой части записываем сумму числителей, всё как в числовых дробях, затем раскрываем скобки в числителе правой части, т.е. перемножаем всё и приводим подобные.

Раскрывать скобки в знаменателях, перемножать что-то не нужно! Вообще, в знаменателях (любых) всегда приятнее произведение! Получим:

 

Умножение дробей

 

Чтобы умножить две обыкновенные дроби, нужно перемножить их числители и знаменатели:

 

 

В частности, чтобы умножить дробь на натуральное число, надо числитель умножить на число, а знаменатель оставить тем же:

 

 

 

 

Перед умножением и делением алгебраических дробей, зачастую выгодно разложить их числители и знаменатели на множители — это облегчает сокращение алгебраической дроби, которая получается в результате умножения или деления.

Например:

Для разложения алгебраических дробей используются формулы сокращённого умножения (разность квадратов, квадрат разности и тд…):

Деление дробей

 

Чтобы поделить одну обыкновенную дробь на другую, нужно умножить первую на дробь, обратную второй:

 

 

 

Например

 


 


Контрольные вопросы и задания для самостоятельного решения по разделу 1

Ответьте на вопросы:

a) Как избавиться от «трёхэтажности» в обыкновенной дроби?

b) По какому правилу складываются и вычитаются обыкновенные дроби?

c) Как умножить обыкновенные дроби?

d) Как разделить дробь на дробь?

e) Как перевести смешанную дробь в «неправильную»?

 

Решите упражнения:

№ 1.

1.1) 1.2)

 

1.3) 1.4)

 

№ 2.

2.1)

2.2)

2.3)

Проверьте своё решение:

 

Ответы:

1.1) 1.2) 1.3) 1.4)

2.2) 2.3) 2.4)


 


Поделиться с друзьями:

mylektsii.su - Мои Лекции - 2015-2026 год. (1.972 сек.)Все материалы представленные на сайте исключительно с целью ознакомления читателями и не преследуют коммерческих целей или нарушение авторских прав Пожаловаться на материал