Студопедия

Главная страница Случайная страница

КАТЕГОРИИ:

АвтомобилиАстрономияБиологияГеографияДом и садДругие языкиДругоеИнформатикаИсторияКультураЛитератураЛогикаМатематикаМедицинаМеталлургияМеханикаОбразованиеОхрана трудаПедагогикаПолитикаПравоПсихологияРелигияРиторикаСоциологияСпортСтроительствоТехнологияТуризмФизикаФилософияФинансыХимияЧерчениеЭкологияЭкономикаЭлектроника






Простейшие тригонометрические уравнения






 

Что такое тригонометрическое уравнение?

Тригонометрическим уравнением называется уравнение, содержащее переменную под знаком тригонометрических функций.

 

Уравнения вида sin x = a; cos x = a; tg x = a; ctg x = a,

где x - переменная, а число называются простейшими тригонометрическими уравнениями (для функций sin x и cos x |a| < 1)

 

Есть несколько способов решать тригонометрические уравнения (с помощью единичной окружности или графически), но проще всего выучить формулы:

 

 

БЛОК I a > 0

 

Þ

 

 

БЛОК II – a < 0

 

Þ

 

БЛОК III частные случаи (а = 0, 1, – 1)

Þ

 

 

Þ

 

 

Þ

Примеры

 

 

 

 

 

Ответ: ;

 

Однородные тригонометрические уравнения

 

Уравнение вида a sinx + b cosx = 0, где a ≠ 0, b ≠ 0

называется однородным тригонометрическим уравнением первой степени.

 

Уравнение вида a sin2x + b sinx cosx + c cos2x = 0,

где a ≠ 0, b ≠ 0, c ≠ 0

 

называется однородным тригонометрическим уравнением второй степени.

 

 

Например:

 

 

 

 

Пример:

a sin2x + b sinx cosx + c cos2x = 0

 

Выполним почленное деление на cos2x

(это возможно, т.к.: sinx и cosx не могут одновременно равняться нулю)

 

 

а tg2x + b tgx + c = 0

(уравнение, сводящееся к квадратному).

Итак, о днородные тригонометрические уравнения первой степени решаются делением обеих частей уравнения на cosx (или sinx). А уравнения второй степени решаются делением обеих частей на cos2x (или sin2x).

 

Пример 1. Решить уравнение:

 

 

Решение:

Это уравнение является однородным относительно sinx и cosx.

Поэтому, разделив его на , получим

Введем новую переменную и решим квадратное уравнение

Ответ:

 

Пример 2.

 

3 sin2x – 4 sinx cosx + cos2x = 0

Т.к. cos2x ≠ 0, то

3tg2x – 4 tgx + 1 = 0 Замена: tgx = у.

2– 4 у + 1 = 0

D = 16 – 12 = 4

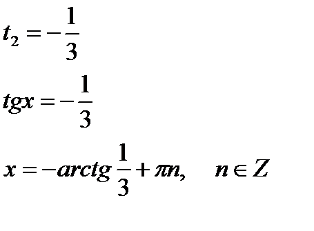
y1 = 1 или y2 = 1/3

tgx = 1 или tgx = 1/3

tgx = 1: Þ x = arctg (1/3) + π n, n ∈ Z.

tgx = 1/3: Þ х = arctg1 + π n, x = π /4 + π n, n ∈ Z.

Пример 3.

sin2x – 10 sinx cosx + 21cos2x = 0

Т.к. cos2x ≠ 0, то

tg2x – 10 tgx + 21 = 0 Замена: tgx = у.

у2 – 10 у + 21 = 0

у1 = 7 или у2 = 3

tgx = 7 или tgx = 3

tgx = 7: х = arctg7 + π n, n ∈ Z

tgx = 3: х = arctg3 + π n, n ∈ Z

Пример 4

sin22x – 6 sin2x cos2x + 5cos22x = 0

Т.к. cos22x ≠ 0,

то 3tg22x – 6tg2x +5 = 0

Замена: tg2x = у

2 – 6у + 5 = 0

D = 36 – 20 = 16

у1= 5 или у2 = 1

tg2x = 5 или tg2x = 1

tg2x = 5: 2х = arctg5 + π n, х = 1/2 arctg5 + π /2 n, n ∈ Z

tg2x = 1: 2х = arctg1 + π n х = π /8 + π /2 n, n ∈ Z

Пример 5

6sin2x + 4 sin(π -x) cos(2π -x) = 1.

6sin2x + 4 sinx cosx = 1.

6sin2x + 4 sinx cosx – sin2x – cos2x = 0.

5sin2x + 4 sinx cosx – cos2x = 0.

Т.к. cos2x ≠ 0, то 5tg2x + 4 tgx –1 = 0

Замена: tg x = у.

2 + 4у – 1 = 0

D = 16 + 20 = 36

у1 = 1/5 или у2 = –1

tg x = 1/5 или tg x = –1

tg x = 1/5: х = arctg1/5 + π n, n ∈ Z

tg x = –1: х = arctg(–1) + π n, n ∈ Z

х = –π /4 + π n, n ∈ Z

 


 

Контрольные вопросы и задания для самостоятельного решения по разделу 7

Ответьте на вопросы:

1) Какое уравнение называется тригонометрическим?

2) Какое уравнение называется однородным первой степени?

3) Какое уравнение называется однородным второй степени?

 

 

Решите упражнения:

1) 2)

3) 4)

 

5)

6)

7)

8)

 

9)

10)

11)

 

12) 13)

14) 15)

16) 17)

18) 19)

 

Проверьте своё решение:

 

Ответы:

1) 2)

3) 4)

5) 6)

7) 8)

9) 10)

11)

12)

13)

14)

15)

16) 17)

18)

19)

 




Поделиться с друзьями:

mylektsii.su - Мои Лекции - 2015-2026 год. (1.364 сек.)Все материалы представленные на сайте исключительно с целью ознакомления читателями и не преследуют коммерческих целей или нарушение авторских прав Пожаловаться на материал