Студопедия

Главная страница Случайная страница

КАТЕГОРИИ:

АвтомобилиАстрономияБиологияГеографияДом и садДругие языкиДругоеИнформатикаИсторияКультураЛитератураЛогикаМатематикаМедицинаМеталлургияМеханикаОбразованиеОхрана трудаПедагогикаПолитикаПравоПсихологияРелигияРиторикаСоциологияСпортСтроительствоТехнологияТуризмФизикаФилософияФинансыХимияЧерчениеЭкологияЭкономикаЭлектроника






Упаковки 9) 544 руб. 10) 38 мин






Чайников 12) 71 набор 13) 9 палаток

Цветов 15) 7 сырков 16) 5 пачек


 


Степени и корни

 

Что такое степень?

Степенью числа a с натуральным показателем n, большим 1, называется произведение n множителей, каждый из которых равен а.

 

Степень с основанием а и показателем n записывается так: аn . Читается “ а в степени n ”; “ n - я степень числа а ”.

 

По определению степени:

 

а1 = а

а2 = а•а

а3 = а•а•а

а4 = а• а•а•а

............

аn =

Например:

 

33 = 3• 3• 3 = 27

 

04 = 0• 0• 0• 0 = 0

 

(-5)3 = (-5) • (-5) • (-5) = -125

 

71 = 7

 

 

 

При умножении степеней с одинаковыми основаниями основания оставляют прежним, а показатели степеней складывают:

 

aman = am + n.

amanak = am + nak = a(m + n) + k = am + n + k

 

При делении степеней с одинаковыми основаниями основание оставляют прежним, а из показателя степени делимого вычитают показатель степени делителя:

 

am: an = am - n

аn: an = 1, т.е. а0 = 1

 

При возведении в степень произведения возводят в эту степень каждый множитель и результат перемножают:

 

(ab)n = an•bn

(a• b• c)n = an •bn •cn ;

(a• b• c• d)n = an •bn •cn •dn.

 

При возведении степени в степень основание оставляют тем же, а показатели перемножают:

 

m )n = аm n

Что такое квадратный корень?

 

Это понятие очень простое. Математики на каждое действие стараются найти противодействие. Есть сложение - есть и вычитание. Есть умножение - есть и деление. Есть возведение в квадрат... Значит есть и извлечение квадратного корня! Вот и всё. Это действие (извлечение квадратного корня) в математике обозначается вот таким значком:

Сам значок называется " радикал ".

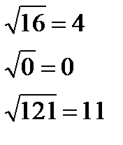
Как извлечь корень квадратный из 9? Нужно просто сообразить: какое число в квадрате даст нам 9? Да конечно же 3! Значит:

 

Например:

 

 

Из каких чисел можно извлекать квадратные корни? Да почти из любых. Проще понять, из чего нельзя их извлекать.

Выражение, в котором под знаком квадратного корня стоит отрицательное число - не имеет смысла! Это запретная операция. Такая же запретная, как и деление на ноль. Квадратные корни (и корни чётных степеней) из отрицательных чисел извлечь нельзя!

 

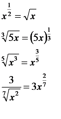
Важно помнить, что радикалы -- это дробный показатель степени:

 

Например:


Контрольные вопросы и задания для самостоятельного решения по разделу 3

 

Ответьте на вопросы:

 

1) Что такое степень?

2) Перечислите свойства степеней.

3) Как записать дробный показатель степени в виде радикала?

 

Решите упражнения:

 

1. Упростите выражение

2. Вычислите:

3. Упростите выражение:

4. Вычислите:

5. Упростите выражение

6. Найдите значение выражения при

7. Представьте выражение

в виде степени с основанием а

8. Упростите выражение

9. Вычислите

10. Упростите выражение:

11. Найдите значение выражения:

12. Представьте в виде степени выражение:

 

Проверьте своё решение:

Ответы:

 

1) 2) 10 3) 4) 1, 2

5) 5b2 6) 2 7) а3 8) 2, 4

9) 1, 5 10) 9m7 11) 36 12) 25


 


Поделиться с друзьями:

mylektsii.su - Мои Лекции - 2015-2026 год. (3.542 сек.)Все материалы представленные на сайте исключительно с целью ознакомления читателями и не преследуют коммерческих целей или нарушение авторских прав Пожаловаться на материал