Студопедия

Главная страница Случайная страница

КАТЕГОРИИ:

АвтомобилиАстрономияБиологияГеографияДом и садДругие языкиДругоеИнформатикаИсторияКультураЛитератураЛогикаМатематикаМедицинаМеталлургияМеханикаОбразованиеОхрана трудаПедагогикаПолитикаПравоПсихологияРелигияРиторикаСоциологияСпортСтроительствоТехнологияТуризмФизикаФилософияФинансыХимияЧерчениеЭкологияЭкономикаЭлектроника






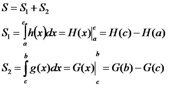
III. Трапеция, состоящая из отдельных частей






(частей может быть больше двух):

 

(нижнее основание – ось Ох, верхних оснований несколько, т.е. функции h(x) и g(x) являются верхними основаниями каждая над своей частью).

 

 

 

IV. Трапеция, находящаяся между функциями:

(верхнее основание функция g(x), нижнее основание функция h(x)).

 

 

 

И так, криволинейные трапеции делятся на 4 типа:

 

 

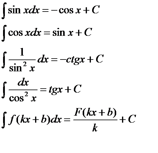
Но для интегрирования функций полезно вспомнить основные формулы интегрирования:

 

 

Чаще всего в заданиях на вычисление площади встречается квадратичная функция и возникает потребность построения обычной параболы:

 

 

 

 

Например:

 

 

 

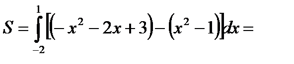
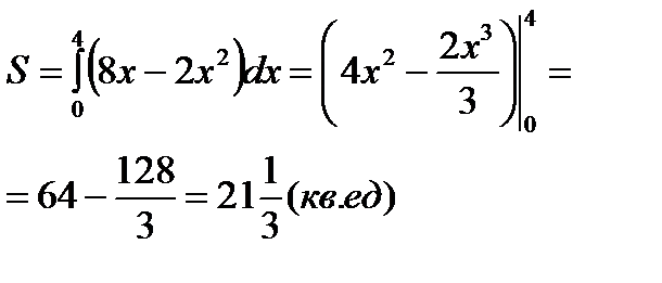
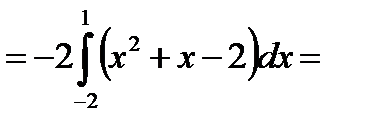
Пример 1. Вычислить площадь фигуры, ограниченной графиками функций

y=x2 – 2x+2 и y=2+6x – x2.

Решение.

1) Выполняем чертеж;

2) Найдем пределы интегрирования:

x2–2x+2=2+6x–x2,

откуда х=0 – нижний предел интегрирования

и х=4 – верхний предел интегрирования;

3) Составим подынтегральную функцию:

f(x)=2+6x–x2 – (x2–2x+2)=8x–2x2;

 

 

 

 

 

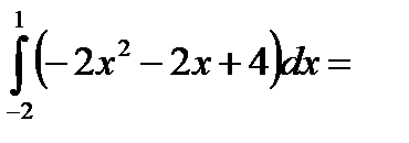
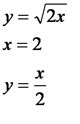
Пример 3

 

Вычислить площадь фигуры, ограниченной линиями

и

 

 

 

 


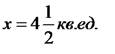
Ответ: 9 кв.ед.

 

 

Контрольные вопросы и задания для самостоятельного решения

 

Ответьте на вопросы:

 

1) Что такое «криволинейная трапеция»?

2) Перечислите виды криволинейных трапеций.

3) Назовите формулу Ньютона-Лейбница.

 

 

Решите упражнения:

Найдите площадь фигуры, ограниченной заданными линиями:

 

№ 1

№ 2

№ 3

№ 4

№ 5

№ 6

 

№ 7 № 8 № 9

 

 

№ 10 № 11 № 12

 

 

№ 13 № 14

 

 

 

Проверьте своё решение:

 

1) 8)

2) 10, 5кв.ед. 9)

3) 4, 5кв.ед. 10)

4) 4, 5кв.ед. 11)

5) 12)

6) 13)

7) 14)

 

 



литература и интернет ресурсы

1. Башмаков М.И. «Математика. Учебник» - М., 2012.

2. Мордкович А.Г. Алгебра и начала анализа 10-11. Задачник» - М., 2009.

3. Дадаян А.А. «Сборник задач по математике» - М., 2007.

 

 

4. https://sait-ege-gia.ru/matematika/ege/teoriya-2/ (подготовка к ЕГЭ 2014)

5. https://4ege.ru/matematika/ (быстрая подготовка к ЕГЭ)

 


Поделиться с друзьями:

mylektsii.su - Мои Лекции - 2015-2026 год. (1.912 сек.)Все материалы представленные на сайте исключительно с целью ознакомления читателями и не преследуют коммерческих целей или нарушение авторских прав Пожаловаться на материал