Студопедия

Главная страница Случайная страница

КАТЕГОРИИ:

АвтомобилиАстрономияБиологияГеографияДом и садДругие языкиДругоеИнформатикаИсторияКультураЛитератураЛогикаМатематикаМедицинаМеталлургияМеханикаОбразованиеОхрана трудаПедагогикаПолитикаПравоПсихологияРелигияРиторикаСоциологияСпортСтроительствоТехнологияТуризмФизикаФилософияФинансыХимияЧерчениеЭкологияЭкономикаЭлектроника






Антибиотики. уменьшенных дозах). Больным уремией и с тяжелыми нарушениями функции почек препарат обычно проти­вопоказан.








 


уменьшенных дозах). Больным уремией и с тяжелыми нарушениями функции почек препарат обычно проти­вопоказан.

Гентамицин обладает способностью блокировать не­рвно-мышечную проводимость (см. Канамицин).

ФОРМЫ ВЫПУСКА: порошок (пористая масса) по 0, 08 г в герметически укупоренных флаконах; 4 % раствор в ампулах по 1 и 2 мл (40 или 80 мг); 0, 1 % мазь в тубах (по 10 или 15 г); 0, 3 % раствор (глазные капли) в тюбиках-капельницах.

ХРАНЕНИЕ: СПИСОК Б.

Гентацикол (Gentacicolum). Пластины из коллагено-вой губки (см. Губка гемостатическая коллагеновая), про­питанные раствором гентамицина сульфата. Одна плас­тина содержит 0, 0625 или 0, 125 г гентамицина.

Применяют в качестве антисептического средства при инфекциях костных и мягких тканей (остеомиелите, абсцессах, флегмонах и др.), а также для профилактики гнойных осложнений после операций на костях.

Препарат в виде части пластины или 1—2 пластин (в зависимости от величины пораженной поверхности) на­носят на участок поражения после его хирургической обработки. Пластины постепенно (в течение 14—20 сут) рассасываются.


Противопоказания см. Гентамицина сульфат.

Губка антисептическая с гентамицином (Spongia ап-tiseptica cum Gentamycino). Сухая пористая масса свет­ло-желтого цвета в виде пластин размером от 50 х 50 до 60 х 90 мм.

В 1 г губки содержится 0, 27 г гентамицина сульфата, по 0, 0024 г фурацилина и кальция хлорида, а также же­латин пищевой.

Гаразон (Garasone)*. Комбинированный препарат (глазные капли), содержащий 0, 3 % раствор гентамици­на (гарамицина) сульфата и 0, 1 % раствор бетаметазона (натрия фосфата).

Применяют в качестве антимикробного и противовос­палительного средства при конъюнктивитах, блефаритах и других инфекционно-воспалительных заболеваниях глаз.

Закапывают обычно по 1 капле 2—3 раза в день.

Используют также в качестве «ушных» капель.

При применении в офтальмологии необходимо учи­тывать, что бетаметазон, подобно другим глюкокорти-костероидам, способен повышать внутриглазное давле­ние, в связи с чем не следует назначать гаразон (особен­но для длительного применения) больным глаукомой.

ФОРМЫ ВЫПУСКА: во флаконах-капельницах по 5 мл; мазь глазная в тубах по 5 г.


 


5. ТОБРАМИЦИН (Tobramycinum).


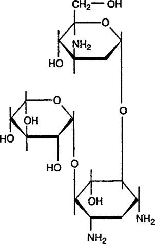
H2N— CH2

О-З-Амино-З-дезокси-а-Э-глюкозопиранозил-(1-»6)-0-[2, 6-диамино-2, 3, 6-тридезокси-а-0-рибо-гек-сопиранозил-(1-»4)]-2-дезокси-0-стрептамин:

СИНОНИМЫ: Бруламицин, Небцин, Обрацин, Тобра-иин, Тобрекс, Brulamycin, Distobram, Gernebcin, Nebcin, Obracin, Tobracin, Tobradistin, Tobramycin, Tobrasix, Tobrex и др.

Антибиотик, продуцируемый Str. tenebrarius.

Выпускается в виде сульфата.

Подобно другим антибиотикам-аминогликозидам, обладает широким спектром антибактериального дей­ствия: эффективен в отношении грамположительных


и грамотрицательных микроорганизмов. По степени антибактериального действия в отношении штаммов Ps. aeruginosa является одним из наиболее активных в ряду аминогликозидов.

При внутримышечном введении быстро всасывается; максимальная концентрация в сыворотке крови обнару­живается через 30—40 мин после введения. Однократ­ное внутривенное или внутримышечное введение обес­печивает терапевтическую концентрацию в организме в течение 6—8 ч.

Выделяется в основном почками, причем в моче от­мечается высокая концентрация препарата.

Применяют при сепсисе, пневмонии, гнойном отите, эмпиеме, плеврите, инфекциях мочевых путей, после­операционных нагноениях и других инфекциях, вызван­ных чувствительными к этому антибиотику штаммами возбудителей.

Вводят обычно по 2—5 мг/кг в 2—3—4 приема внут­римышечно или внутривенно (больным с тяжелым тече­нием инфекционного заболевания). Максимальная суточ­ная доза для взрослых 5 мг/кг (в 3—4 приема), для детей 2—5 мг/кг (в 2—4 приема). Курс лечения 7—10 дней.

Для внутримышечного введения препарат растворя­ют в 2—5 мл стерильной воды для инъекций, для внут­ривенного введения — в 50—100 мл изотонического ра­створа натрия хлорида или 5 % раствора глюкозы (вво­дят капельно в течение 20—60 мин).

При нарушении выделительной функции почек дозу уменьшают. По экстренным показаниям препарат вво­дят в обычных дозах, однако при этом тщательно сле­дят за функцией почек и состоянием слуха (учитывая нефро- и ототоксичность препарата).

Тобрамицин противопоказан при повышенной чув­ствительности к антибиотикам-аминогликозидам. Пре-




Поделиться с друзьями:

mylektsii.su - Мои Лекции - 2015-2026 год. (1.353 сек.)Все материалы представленные на сайте исключительно с целью ознакомления читателями и не преследуют коммерческих целей или нарушение авторских прав Пожаловаться на материал