Студопедия

Главная страница Случайная страница

КАТЕГОРИИ:

АвтомобилиАстрономияБиологияГеографияДом и садДругие языкиДругоеИнформатикаИсторияКультураЛитератураЛогикаМатематикаМедицинаМеталлургияМеханикаОбразованиеОхрана трудаПедагогикаПолитикаПравоПсихологияРелигияРиторикаСоциологияСпортСтроительствоТехнологияТуризмФизикаФилософияФинансыХимияЧерчениеЭкологияЭкономикаЭлектроника






Криволинейный интеграл второго рода. Свойства. Вычисление.






Введем векторную функцию , определенную на кривой C, так, чтобы для скалярной функции

существовал криволинейный интеграл . Такой интеграл называется криволинейным интегралом второго рода от векторной функции вдоль кривой C.

Свойства:

1. Линейность:

2. Аддитивность:

3.

Замечание. Для криволинейных интегралов второго рода несправедливы свойство монотонности, оценка модуля и теорема о среднем.

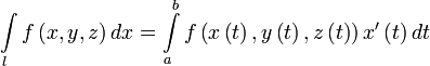
Вычисление:

Пусть — гладкая, спрямляемая кривая, заданная параметрически (как в определении). Пусть функция определена и интегрируема вдоль кривой в смысле криволинейного интеграла второго рода. Тогда

,

,

.

Если обозначить за единичный вектор касательной к кривой , то нетрудно показать, что

 


Поделиться с друзьями:

mylektsii.su - Мои Лекции - 2015-2026 год. (1.229 сек.)Все материалы представленные на сайте исключительно с целью ознакомления читателями и не преследуют коммерческих целей или нарушение авторских прав Пожаловаться на материал