Студопедия

Главная страница Случайная страница

КАТЕГОРИИ:

АвтомобилиАстрономияБиологияГеографияДом и садДругие языкиДругоеИнформатикаИсторияКультураЛитератураЛогикаМатематикаМедицинаМеталлургияМеханикаОбразованиеОхрана трудаПедагогикаПолитикаПравоПсихологияРелигияРиторикаСоциологияСпортСтроительствоТехнологияТуризмФизикаФилософияФинансыХимияЧерчениеЭкологияЭкономикаЭлектроника






Определение криволинейного интеграла первого рода.






Геометрическое и физическое применение криволинейного интеграла

Криволинейный интеграл первого рода

Определение криволинейного интеграла первого рода.

Рассмотрим в трехмерном пространстве с заданной декартовой системой координат ОXYZ некоторую кривую Г (см. рис. 1). Декартовы координаты точек кривой будем обозначать через (х, у, z).

 

Определение 1. Кривая, заданная уравнением

, , (1)

называется непрерывной кусочно-гладкой, если функции и непрерывны на отрезке и отрезок может быть разбит точками на конечное число отрезков таким образом, что на каждом из этих частичных отрезков функции и имеют непрерывные производные, не обращающиеся одновременно в .

Рис.1. К определению кривой.

Пусть на кривой Г , где , задана непрерывная функция , где – точка на кривой.

Рис. 2. Разбиение кривой Г.

 

Зададим разбиение T кривой Г точками A = N o, N 1, N 2, …, Nn = B, (см. рис. 2). На каждой из дуг ∪ Nk Nk +1 выберем по произвольной точке Mk с координатами (ξ k, η k, ζ k) и составим интегральную сумму:

, (2)

где Δ sk – длина дуги ∪ Nk Nk +1.

 

Определение 2. Криволинейным интегралом первого рода от функции по кривой Г называется предел интегральной суммы (2) при бесконечном увеличении числа n точек деления Nk и бесконечном уменьшении длин дуг ∪ Nk Nk +1, если этот предел существует и не зависит ни от способа разбиения T, ни от выбора точек Mk на дугах:

(3)

Для криволинейного интеграла по замкнутой кривой Г используется иное обозначение:

Существование криволинейного интеграла устанавливает следующая теорема:

 

Теорема 1. Если Г – непрерывная кусочно-гладкая кривая и функция f (M) непрерывна на ней, то криволинейный интеграл первого рода (3) от функции f (M) существует и определен однозначно.

 

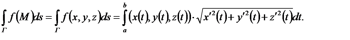
Теорема 2. Если кривая Г задана уравнениями (1), а функция f (M) непрерывна на этой кривой, то криволинейный интеграл первого рода от функции f (M) находится по формуле

(4)

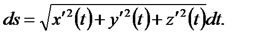
Замечание. При использовании формулы (4) следует обращать внимание на то, чтобы при изменении параметра t от а до b дифференциалы ds и dt были неотрицательными, поскольку выражение

задает элемент длины дуги, который отрицательным быть не может.

 

ПРИМЕР 1. Найти интеграл , где кривая Г – дуга окружности с центром в начале координат и радиуса 1 между точками А (0, 1) и В (1, 0) (см. рис. 3). Введем на кривой Г параметризацию: . Тогда . Здесь модуль раскрывается со знаком «–» поскольку при интегрировании от точки А до точки В параметр t изменяется в интервале от π /2 до 0 и, следовательно, dt < 0. Применяя формулу (4), получим:

Рис.3. К примеру 1. Рис.4. К примеру 2.

 

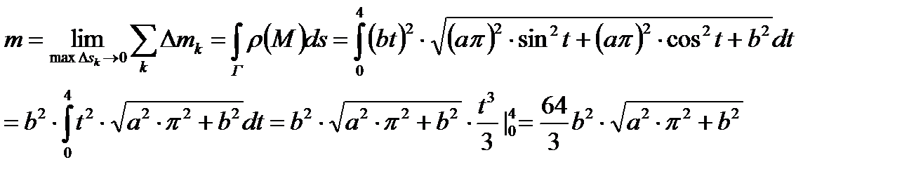
ПРИМЕР 2. На кривой Г, заданной параметрически уравнениями , распределена масса с плотностью . Определить массу кривой. Кривая Г представляет собой два витка спирали (см. рис.4). Для определения ее массы воспользуемся процедурой, аналогичной применявшейся при введении понятия криволинейного интеграла. Проведем разбиение T кривой Г

точками на элементарные дуги ∪ Nk Nk +1. На каждой дуге выберем по точке Mk и будем считать, что плотность кривой на этой дуге постоянна и равна значению ρ (Mk) плотности в точке Mk. Тогда масса элементарной дуги равна произведению плотности на длину дуги: Δ mk = ρ (Mk)· Δ sk. Масса всей кривой равна сумме масс всех элементарных дуг: . Полученное выражение представляет собой интегральную сумму криволинейного интеграла первого рода функции ρ (М) по дуге Г.

С уменьшением длин дуг ∪ Nk Nk +1 разбиения исходной кривой интегральная сумма приближается к искомой массе. В пределе получаем:

Замечание. В случае кривой на плоскости:

(5)

сохраняются определения и остаются справедливыми все теоремы, сформулированные выше. В соответствующих формулах нужно лишь убрать третью координату z (t) или ζ k.

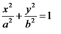
ПРИМЕР 3. Вычислить интеграл , где Г – четверть эллипса , лежащая в первом квадрате (см. рис. 5).

Рис.5. К примеру 3.

 

Пусть для определенности a > b. Введем параметризацию дуги: ,

. Тогда, используя теорему 2, получаем

 


Поделиться с друзьями:

mylektsii.su - Мои Лекции - 2015-2026 год. (2.667 сек.)Все материалы представленные на сайте исключительно с целью ознакомления читателями и не преследуют коммерческих целей или нарушение авторских прав Пожаловаться на материал