Студопедия

Главная страница Случайная страница

КАТЕГОРИИ:

АвтомобилиАстрономияБиологияГеографияДом и садДругие языкиДругоеИнформатикаИсторияКультураЛитератураЛогикаМатематикаМедицинаМеталлургияМеханикаОбразованиеОхрана трудаПедагогикаПолитикаПравоПсихологияРелигияРиторикаСоциологияСпортСтроительствоТехнологияТуризмФизикаФилософияФинансыХимияЧерчениеЭкологияЭкономикаЭлектроника






Примеры на вычисление и приложения криволинейного интеграла первого рода.






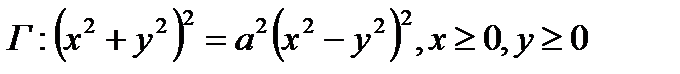
ПРИМЕР 1. Найти площадь поверхности, полученной вращением кривой , вокруг прямой .

Перейдем к полярным координатам: получим: Тогда кривая Г - это половина одной петли лемнискаты Бернулли (см. рис. 8). Расстояние от точки M(x, y) до прямой выражается формулой:

 

 

В данном случае

По формуле (2), площадь поверхности вращения равна

Рис.8. К примеру 1. Рис.9. К примеру 2.

 

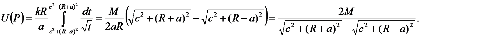
ПРИМЕР 2. Вычислить ньютонов потенциал окружности массой M в точке плотность в любой точке окружности пропорциональна расстоянию от этой точки до оси OX.

Параметризуем окружность: (см. рис. 9):

Тогда, как легко проверить,

 

Плотность линии в точке N(x, y) равна Найдем коэффициенты k > 0, для чего вычислим массу окружности:

откуда .

Поэтому, по формуле (3), потенциал в точке P равен:

Для вычисления этого интеграла сделаем замену:

Тогда:

 

 


Поделиться с друзьями:

mylektsii.su - Мои Лекции - 2015-2026 год. (0.985 сек.)Все материалы представленные на сайте исключительно с целью ознакомления читателями и не преследуют коммерческих целей или нарушение авторских прав Пожаловаться на материал