Студопедия

Главная страница Случайная страница

КАТЕГОРИИ:

АвтомобилиАстрономияБиологияГеографияДом и садДругие языкиДругоеИнформатикаИсторияКультураЛитератураЛогикаМатематикаМедицинаМеталлургияМеханикаОбразованиеОхрана трудаПедагогикаПолитикаПравоПсихологияРелигияРиторикаСоциологияСпортСтроительствоТехнологияТуризмФизикаФилософияФинансыХимияЧерчениеЭкологияЭкономикаЭлектроника






Свойства криволинейного интеграла первого рода.






1) Аддитивность: Если кривая Г есть объединение двух линий и , имеющих, самое большое, конечное число общих точек, , то

(точнее, если существуют оба интеграла в правой части и то существует и интеграл в левой части и равен сумме двух первых).

 

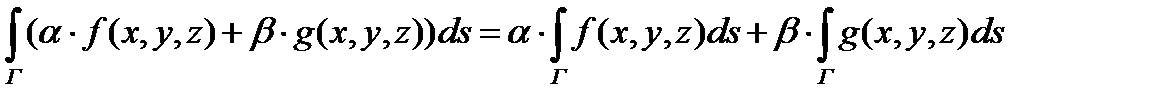
2) Линейность. Для любых чисел и функции и справедливо равенство:

(точнее, если существуют оба интеграла в правой части, то существует и интеграл в левой части и равен выражению, стоящему в правой части).

 

3) Переход к неравенству под знаком интеграла. Если кривая Г и функция и таковы, что для всех точек выполняется неравенство , то

(при условии, что оба интеграла существуют).

 

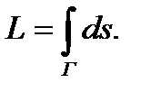
4) Интеграл от константы. Если кривая Г имеет длину L, то

частности,

5) Теорема об оценке. Если для всех точек выполняется неравенство , а кривая Г имеет длину L то выполняется неравенство

(при условии, что данный криволинейный интеграл существует).

 

6) Определение среднего значения функции. Средним значением функции f(x, y, z)=f(M) на кривой Г (имеющий длину L), называется величина

7) Теорема о среднем. Если не прерывная кривая Г имеет длину L, а функция f(x, y, z)=f(M) непрерывная на Г, то найдется точка , такая что,

или что равносильно

 


Поделиться с друзьями:

mylektsii.su - Мои Лекции - 2015-2026 год. (1.206 сек.)Все материалы представленные на сайте исключительно с целью ознакомления читателями и не преследуют коммерческих целей или нарушение авторских прав Пожаловаться на материал