Студопедия

Главная страница Случайная страница

КАТЕГОРИИ:

АвтомобилиАстрономияБиологияГеографияДом и садДругие языкиДругоеИнформатикаИсторияКультураЛитератураЛогикаМатематикаМедицинаМеталлургияМеханикаОбразованиеОхрана трудаПедагогикаПолитикаПравоПсихологияРелигияРиторикаСоциологияСпортСтроительствоТехнологияТуризмФизикаФилософияФинансыХимияЧерчениеЭкологияЭкономикаЭлектроника






Методы Рунге-Кутты III,IV порядков






Дальнейшее улучшение точности решения ОДУ первого порядка возможно за счет увеличения точности приближенного вычисления интеграла в выражении.

Воспользовавшись формулой Симпсона, можно получить еще более точную формулу для решения задачи Коши ОДУ первого порядка - широко используемого в вычислительной практике метода Рунге-Кутты.

В формуле Симпсона для приближенного вычисления определенного интеграла используются значения подынтегрального выражения в трех точках. В интеграле их всего две, поэтому введем дополнительную точку в середине отрезка [ xi+1, xi ]

тогда можно переписать так:

Полученное выражение является неявным, так как в правой части содержатся еще не определенные значения функции yi+h/2и yi+1. Чтобы воспользоваться этой формулой, надо использовать некоторое приближение для вычисления этих значений

  (3.15)  

При использовании различных методов приближенного вычисления этих величин, получаются выражения для методов Рунге-Кутты различного порядка точности.

Алгоритм Рунге-Кутты третьего порядка - РК3 (погрешность порядка h3):

  (3.15)

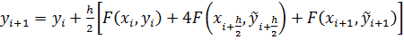
Алгоритм Рунге-Кутты четвертого порядка- РК4(погрешность порядка h4):

    (3.16)

Алгоритмы третьего и четвертого порядков требуют на каждом шаге трех и четырех вычислений функции соответственно, но являются весьма точными.

Построим рекуррентные формулы по формуле по алгоритму РК3:

(3.10)
(3.11)  

 

начальные условия:

(3.12)
   

условия трансверсальности:

(3.13)
   

ограничение на управление:

(3.14)
   

Гамильтониан Н:

, при (3.15)
   

Условия стационарности по управлению и фазовым переменным строится аналогично методу Эйлера.

Для РК4 рекуррентные формулы строятся аналогично РК3, используя формулы (3.16).

 

3.3 Метод Адамса - Башфорта

Рассмотренные ранее методы (Эйлера, Рунге-Кутты) используют значение функции на одном предшествующем шаге, поэтому они относятся к так называемым одношаговым методам. Точность вычислений можно увеличить, если использовать при нахождении решения в некотором узле xi информацию о значениях функции, полученных в нескольких (k) предыдущих узлах сетки интегрирования (xi-1, xi-2… xi-k).

Если используются значения в k предыдущих узлах, то говорят о k-шаговом методе интегрирования уравнения. Одним из способов построения многошаговых методов заключается в следующем. По значениям функции, вычисленным в k предшествующих узлах, строится интерполяционный полином степени , который используется при интегрировании дифференциального уравнения по выражению. Интеграл при этом выражается через квадратурную формулу:

      (3.17)

Значения квадратурных коэффициентов для k от 2 до 4 приведены в таблице.

k
  3/2 -1/2    
  23/12 -16/12 5/12  
  55/24 -59/24 37/24 -9/24

 

Полученное таким образом семейство формул называется явной k -шаговой схемой Адамса (методы Адамса-Башфорта).

Так как для вычислений по k -шаговой формуле необходимо знание значения функции в k узлах. Поэтому приходится (k-1) решение в первых узлах x1, x2, …, xk-1 получать с помощью какого-либо одношагового метода, например метода Рунге-Кутты 4–го порядка.


 


Поделиться с друзьями:

mylektsii.su - Мои Лекции - 2015-2026 год. (2.156 сек.)Все материалы представленные на сайте исключительно с целью ознакомления читателями и не преследуют коммерческих целей или нарушение авторских прав Пожаловаться на материал