Студопедия

Главная страница Случайная страница

КАТЕГОРИИ:

АвтомобилиАстрономияБиологияГеографияДом и садДругие языкиДругоеИнформатикаИсторияКультураЛитератураЛогикаМатематикаМедицинаМеталлургияМеханикаОбразованиеОхрана трудаПедагогикаПолитикаПравоПсихологияРелигияРиторикаСоциологияСпортСтроительствоТехнологияТуризмФизикаФилософияФинансыХимияЧерчениеЭкологияЭкономикаЭлектроника






Передаточные функции, свойства, структурные схемы, их преобразования.






Передаточной функцией звена называется отношение изображения выходной координаты звена к изображению его входной координаты при нулевых начальных условиях.

Применение передаточных функций позволяет перейти от описания звеньев в виде дифференциальных уравнений к их описанию в виде алгебраических уравнений. Такой переход в ряде случаев упрощает решение задач исследования САУ.

Для построения передаточных функций каждого из звеньев необходимо убедится в том, что математическая модель звена задана линейными алгебраическими или обыкновенными дифференциальными уравнениями с постоянными коэффициентами, и применить преобразование Лапласа, формально заключающееся в том, что переменные вещественного аргумента t заменяются на соответствующие им переменные комплексного аргумента s, а дифференцирование заменяется умножением на s, повторное дифференцирование – на s2 и т.д. Начальные условия при этом задаются нулевыми. Из полученного алгебраического уравнения в комплексной области необходимо найти отношение изображения выхода звена к входу. Это изображение и есть передаточная функция.

Таким образом, дифференциальному уравнению вида

где – постоянные коэффициенты; , – входная и выходная переменные; ,

соответствует передаточная функция

.

 

Структурной схемой называется условное изображение САУ, на котором указаны математические модели отдельных звеньев и связи между ними.

Для составления структурной схемы необходимо на функциональной схеме для каждого звена указать его математическую модель. Для рассматриваемой САУ математической моделью каждого звена является его передаточная функция.

Замкнутая САУ – это исходная система, замкнутая обратной связью. Разомкнутая САУ – это система, в которой обратная связь искусственно удалена.

Передаточные функции замкнутой и разомкнутой САУ находятся по передаточным функциям отдельных звеньев и связями между ними с помощью одного из методов:

– составления и решения алгебраических уравнений относительно изображений переменных системы;

– метода элементарных структурных преобразований.

 

Таблица 3.1 – Элементарные структурные преобразования динамических звеньев системы автоматического управления

 

Наименование соединения звеньев Структурная схема Математическое описание структурной схемы
Последовательное Уравнение выхода будет иметь вид: Результирующая ПФ системы:
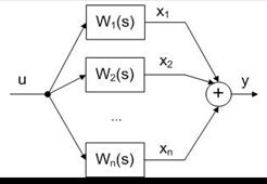
Параллельное Уравнение выхода будет иметь вид: Результирующая ПФ системы:
Обратные связи САУ с положительной ОС: Уравнение выхода будет иметь вид: Результирующая ПФ системы:
САУ с отрицательной ОС: Уравнение выхода будет иметь вид: Результирующая ПФ системы:

 


Поделиться с друзьями:

mylektsii.su - Мои Лекции - 2015-2026 год. (1.718 сек.)Все материалы представленные на сайте исключительно с целью ознакомления читателями и не преследуют коммерческих целей или нарушение авторских прав Пожаловаться на материал