Студопедия

Главная страница Случайная страница

КАТЕГОРИИ:

АвтомобилиАстрономияБиологияГеографияДом и садДругие языкиДругоеИнформатикаИсторияКультураЛитератураЛогикаМатематикаМедицинаМеталлургияМеханикаОбразованиеОхрана трудаПедагогикаПолитикаПравоПсихологияРелигияРиторикаСоциологияСпортСтроительствоТехнологияТуризмФизикаФилософияФинансыХимияЧерчениеЭкологияЭкономикаЭлектроника






Процедура решения задачи






1. Используя алгоритм Марквардта, построить точку х k, в которой выполняется по крайней мере один критерий окончания расчетов.

2. Так как f (x) ∈ С 2, то осуществить проверку выполнения достаточных условий минимума H (х k) > 0. Если условие выполнено, то точка х k может рассматриваться как найденное приближение точки минимума х *. Проверку выполнения достаточных условий минимума можно заменить проверкой функции f (x) на выпуклость.

За мечания 7.3.

1. Метод Марквардта за счет выбора μ k обеспечивает построение последовательности { х k }, такой, что f (xk +1) < f (xk), k = 0, 1,...

2. В окрестности точки минимума х *метод Марквардта обладает скоростью сходимости, близкой к квадратичной.

Пример 7.3. Найти локальный минимум функции f (х) = 2 х 12 + х 1 х 2 + х 22.

I. Определение точки х k, в которой выполнен по крайней мере один критерий окончания расчетов.

1 0. Зададим х 0= (0, 5; 1) T, ε 1= 0, 1; М = 10. Найдем градиент функции ∇ f (x) = (4 x 1+ х 2; x 1+ 2 х 2) T и матрицу Гессе

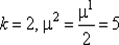
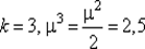
2 0. Положим k = 0, μ 0= 20.

30. Вычислим ∇ f (x 0): ∇ f (x 0) = (3; 2, 5) Т.

40. Проверим выполнение условия || ∇ f (x 0)|| ≤ ε 1: || ∇ f (x 0)|| = 3, 9 > 0, 1. Переходим к шагу 5.

50. Проверим условие kМ: k = 0 < 10. Переходим к шагу 6.

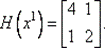
60. Вычислим H (x 0):

7°. Вычислим Н (х 0) + μ 0 E: Н (х 0) + μ 0 E =

80. Вычислим [ Н (х 0) + μ 0 E ]–1: [ Н (х 0) + μ 0 E ]–1=

90. Вычислим d 0= – [ Н (х 0) + μ 0 E ]–1∇ f (x 0): d 0= (–0, 119; –0, 108) T.

100.Вычислим х 1= х 0– [ Н (х 0) + μ 0 E ]–1∇ f (x 0): х 1=(0381; 0392) T.

110.Проверим выполнение условия f (x 1) < f (x 0): f (x 1) = 1, 438 < 2 = f (x 0).

120.Полагаем и переходим к шагу 3.

31. Вычислим ∇ f (x 1): ∇ f (x 1) = (2, 41; 2, 16) T.

41. Проверим выполнение условия || ∇ f (x 1) || ≤ ε 1: || ∇ f (x 1) || = 3, 18 > 0, 1. Переходим к шагу 5.

51. Проверим выполнение условия kМ: k = 1 < 10. Переходим к шагу 6.

61. Вычислим Н (х 1):

71. Вычислим Н (х 1) + μ 1 E:

Н (х 1) + μ 1 E =

81. Вычислим [ Н (х 1) + μ 1 E ]–1:

[ Н (х 1) + μ 1 E ]–1=

91. Вычислим d 1= – [ Н (х 1) + μ 1 E ]–1∇ f (x 1): d 1= (–0, 160; –0, 168) T.

101. Вычислим х 2= х 1– [ Н (х 1) + μ 1 E ]–1∇ f (x 1):

х 2= (0, 381; 0, 892) T – (0, 160; 0, 168) T = (0, 221; 0, 724) T.

111. Проверим выполнение условия f (x 2) < f (x 1):

f (x 2) = 0, 791 < 1, 438 = f (x 1).

121. Полагаем и переходим к шагу 3.

32. Вычислим ∇ f (x 2): ∇ f (x 2) = (1, 60; 1, 67) T.

42. Проверим выполнение условия || ∇ f (x 2) || ≤ ε 1: || ∇ f (x 2) || = 2, 31 > 0, l. Переходим к шагу 5.

52. Проверим выполнение условия kМ: k = 2 < 10. Переходим к шагу 6.

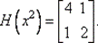
62. Вычислим Н (х 2):

72. Вычислим Н (х 2) + μ 2 E:

Н (х 2) + μ 2 E =

82. Вычислим [ Н (х 2) + μ 2 E ]–1:

[ Н (х 2) + μ 2 E ]–1=

92. Вычислим d 2= – [ Н (х 2) + μ 2 E ]–1∇ f (x 2): d 2= (–0, 155; –0, 217) T.

102. Вычислим х 3 = х 2– [ Н (х 2) + μ 2 E ]–1∇ f (x 2):

х 3= (0, 221; 0, 724) T – (0, 155; 0, 217) T = (0, 07; 0, 51) T.

112. Проверим выполнение условия f (x 3) < f (x 2):

f (x 3) = 0, 3 < 0, 791 = f (x 2).

122. Полагаем и переходим к шагу 3.

33. Вычислим ∇ f (x 3): ∇ f (x 3) = (0, 79; 1, 09) T.

43. Проверим выполнение условия || ∇ f (x 3) || ≤ ε 1: || ∇ f (x 3) || = l, 34 > 0, l. Переходим к шагу 5.

53. Проверим выполнение условия kМ: k = 3 < 10. Переходим к шагу 6.

63. Вычислим Н (х 3):

73. Вычислим Н (х 3) + μ 3 E:

Н (х 3) + μ 3 E =

83. Вычислим [ Н (х 3) + μ 3 E ]–1:

[ Н (х 3) + μ 3 E ]–1=

93. Вычислим d 3= – [ Н (х 3) + μ 3 E ]–1∇ f (x 3): d 3= (–0, 078; –0, 22) T.

103. Вычислим х 4 = х 3– [ Н (х 3) + μ 3 E ]–1∇ f (x 3):

х 4= (0, 07; 0, 51) T – (0, 078; 0, 22) T = (–0, 008; 0, 29) T.

113. Проверим выполнение условия f (x 4) < f (x 3):

f (x 4) = 0, 082 < 0, 3 = f (x 3).

123. Полагаем и переходим к шагу 3.

34. Вычислим ∇ f (x 4): ∇ f (x 4) = (0, 26; 0, 57) T.

44. Проверим выполнение условия || ∇ f (x 4) || ≤ ε 1: || ∇ f (x 4) || = 0, 62 > 0, l. Переходим к шагу 5.

54. Проверим выполнение условия kМ: k = 4 < 10. Переходим к шагу 6.

64. Вычислим Н (х 4):

74. Вычислим Н (х 4) + μ 4 E:

Н (х 4) + μ 4 E =

84. Вычислим [ Н (х 4) + μ 4 E ]–1:

[ Н (х 4) + μ 4 E ]–1=

94. Вычислим d 4= – [ Н (х 4) + μ 4 E ]–1∇ f (x 4): d 4= (–0, 017; –0, 17) T.

104. Вычислим х 5 = х 4– [ Н (х 4) + μ 4 E ]–1∇ f (x 4):

х 5= (–0, 008; 0, 29) T – (0, 017; 0, 17) T = (0, 025; 0, 12) T.

114. Проверим выполнение условия f (x 5) < f (x 4):

f (x 5) = 0, 012 < 0, 082 = f (x 4).

124. Полагаем и переходим к шагу 3.

35. Вычислим ∇ f (x 5): ∇ f (x 5) = (0, 02; 0, 22) T.

45. Проверим выполнение условия || ∇ f (x 5) || ≤ ε 1: || ∇ f (x 5) || = 0, 22 > 0, l. Переходим к шагу 5.

55. Проверим выполнение условия kМ: k = 5 < 10. Переходим к шагу 6.

65. Вычислим Н (х 5):

75. Вычислим Н (х 5) + μ 5 E:

Н (х 5) + μ 5 E =

85. Вычислим [ Н (х 5) + μ 5 E ]–1:

[ Н (х 5) + μ 5 E ]–1=

95. Вычислим d 5= – [ Н (х 5) + μ 5 E ]–1∇ f (x 5): d 5= (–0, 015; –0, 090) T.

105. Вычислим х 6 = х 5– [ Н (х 5) + μ 5 E ]–1∇ f (x 5):

х 6= (0, 025; 0, 12) T – (0, 015; –0, 09) T = (–0, 01; 0, 03) T.

115. Проверим выполнение условия f (x 6) < f (x 5):

f (x 6) = 0, 0006 < 0, 012 = f (x 5).

125. Полагаем и переходим к шагу 3.

36. Вычислим ∇ f (x 6): ∇ f (x 6) = (–0, 01; 0, 05) T.

46. Проверим выполнение условия || ∇ f (x 6) || ≤ ε 1: || ∇ f (x 6) || = 0, 051 < 0, l. Расчет окончен.

II. Анализ точки х 1.

Точка х 6= (–0, 01; 0, 03) T (рис. 7.2) является найденным приближением точки минимума x *, так как функция f (х) = 2 х 12+ х 1 х 2+ х 22 является строго выпуклой (см. пример 7.1). На рис. 7.2 полученная траектория спуска изображена пунктирной линией.

 





· Тема 4. Численные методы поиска условного экстремума

·



Поделиться с друзьями:

mylektsii.su - Мои Лекции - 2015-2026 год. (1.907 сек.)Все материалы представленные на сайте исключительно с целью ознакомления читателями и не преследуют коммерческих целей или нарушение авторских прав Пожаловаться на материал