Студопедия

Главная страница Случайная страница

КАТЕГОРИИ:

АвтомобилиАстрономияБиологияГеографияДом и садДругие языкиДругоеИнформатикаИсторияКультураЛитератураЛогикаМатематикаМедицинаМеталлургияМеханикаОбразованиеОхрана трудаПедагогикаПолитикаПравоПсихологияРелигияРиторикаСоциологияСпортСтроительствоТехнологияТуризмФизикаФилософияФинансыХимияЧерчениеЭкологияЭкономикаЭлектроника






Нормальный вид квадратичной формы






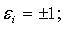
Для действительной квадратичной формы

где r = rank A.

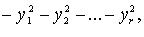
Для комплексной квадратичной формы

r = rank A.

Для действительных квадратичных форм имеет место закон инерции квадратичных форм: число положительных и число отрицательных квадратов в нормальном виде квадратичной формы не зависит от способа приведения квадратичной формы к нормальному виду с помощью невырожденных линейных преобразований.


Классификация действительных квадратичных форм

Положительно-определенные

Квадратичные формы, для которых таких, что Нормальный вид Квадратичная форма является положительно-определенной тогда и только тогда, когда все ее главные миноры положительны (критерий Сильвестра).


Отрицательно-определенные

Квадратичные формы, для которых таких, что Нормальный вид Квадратичная форма является отрицательно-определенной тогда и только тогда, когда


Положительно-полуопределенные

Квадратичные формы, для которых таких, что Нормальный вид r < n, r = rank A.


Отрицательно-полуопределенные

Квадратичные формы, для которых таких, что Нормальный вид r < n, r = rank A.


Неопределенные

Квадратичные формы, которые принимают как положительные, так и отрицательные значения. Нормальный вид: r = rank A.

 

 



Поделиться с друзьями:

mylektsii.su - Мои Лекции - 2015-2026 год. (1.297 сек.)Все материалы представленные на сайте исключительно с целью ознакомления читателями и не преследуют коммерческих целей или нарушение авторских прав Пожаловаться на материал