Студопедия

Главная страница Случайная страница

КАТЕГОРИИ:

АвтомобилиАстрономияБиологияГеографияДом и садДругие языкиДругоеИнформатикаИсторияКультураЛитератураЛогикаМатематикаМедицинаМеталлургияМеханикаОбразованиеОхрана трудаПедагогикаПолитикаПравоПсихологияРелигияРиторикаСоциологияСпортСтроительствоТехнологияТуризмФизикаФилософияФинансыХимияЧерчениеЭкологияЭкономикаЭлектроника






Собственные векторы и собственные значения линейного оператора






Ненулевой вектор называется собственным вектором линейного оператора , если ( для комплексного ), такое, что Число называется собственным числом (собственным значением) оператора f, соответствующим этому собственному вектору.

Если в некотором базисе оператор f имеет матрицу А и в том же базисе вектор имеет координатный столбец X, то или

Собственные числа линейного оператора - корни характеристического уравнения , где - матрица оператора f, - символ Кронекера.

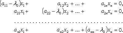
Для каждого собственного значения соответствующие собственные векторы могут быть найдены из матричного уравнения или соответствующей ему системы линейных уравнений

Линейный оператор называется оператором простой структуры, если существует базис, состоящий из собственных векторов этого оператора. Матрица линейного оператора в этом базисе имеет вид

где - соответствующие собственные значения.

 


Поделиться с друзьями:

mylektsii.su - Мои Лекции - 2015-2026 год. (1.852 сек.)Все материалы представленные на сайте исключительно с целью ознакомления читателями и не преследуют коммерческих целей или нарушение авторских прав Пожаловаться на материал