Студопедия

Главная страница Случайная страница

КАТЕГОРИИ:

АвтомобилиАстрономияБиологияГеографияДом и садДругие языкиДругоеИнформатикаИсторияКультураЛитератураЛогикаМатематикаМедицинаМеталлургияМеханикаОбразованиеОхрана трудаПедагогикаПолитикаПравоПсихологияРелигияРиторикаСоциологияСпортСтроительствоТехнологияТуризмФизикаФилософияФинансыХимияЧерчениеЭкологияЭкономикаЭлектроника






Билиненйая и мультилинейная модели с изотропным (механическим) упрочнением






 

Эти модели используют критерий текучести по фон Мизесу, ассоциированный закон текучести и изотропное (механическое) упрочнение.

Эквивалентные напряжения (4.4) записываются как:

, (4.18)

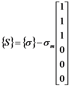
где { S } – девиаторные напряжения, ,

в котором ­ σ m - величина гидростатического давления, равная:

Заметим, что формула (4.17) эквивалентна (2.79) и получается из неё с помощью элементарных преобразований.

В случае, если эквивалентные напряжения σ e равны текущему значению предела текучести σ k, критерий текучести можно записать в следующем виде:

. (4.19)

Для механического упрочнения текущее значение предела текучести σ k является функцией от величины совершенной пластической работы. В случае изотропной пластичности (о которой сейчас и идёт речь) σ k может быть определен через эквивалентные пластические деформации (4.17) и графика напряжений-деформаций (рисунок 4.4).

Рисунок 4.4 - Определение текущего значения предела текучести σ k

(Билиненйая и мультилинейная модели с изотропным (механическим) упрочнением)

 


Поделиться с друзьями:

mylektsii.su - Мои Лекции - 2015-2026 год. (1.533 сек.)Все материалы представленные на сайте исключительно с целью ознакомления читателями и не преследуют коммерческих целей или нарушение авторских прав Пожаловаться на материал