Студопедия

Главная страница Случайная страница

КАТЕГОРИИ:

АвтомобилиАстрономияБиологияГеографияДом и садДругие языкиДругоеИнформатикаИсторияКультураЛитератураЛогикаМатематикаМедицинаМеталлургияМеханикаОбразованиеОхрана трудаПедагогикаПолитикаПравоПсихологияРелигияРиторикаСоциологияСпортСтроительствоТехнологияТуризмФизикаФилософияФинансыХимияЧерчениеЭкологияЭкономикаЭлектроника






Реализация в МКЭ






Ползучесть материала характеризуется с помощью констант материала С1...С12. Для неклассических моделей может использоваться большее число констант.

Расчет ползучести в МКЭ может производится явным и неявным методом (в данном случае термины «явный» и «неявный» относятся лишь к ползучести, но не методу численного интегрирования задачи вообще).

Неявный метод более устойчив, быстр, точен и рекомендуется для использования по умолчанию. Он подходит для задач с большими деформациями ползучести и просто с большими деформациями, так же как и для задач, учитывающих влияние температуры.

Явный метод используется для анализа очень малых промежутков времени или переходных процессов (далее не рассматривается).

Приведенные полные деформации на очередном шаге интегрирования определяются как:

. (4.42)

Данное выражение (4.42) по смыслу аналогично выражению (4.14), которое использовалось для пластичности.

Эквивалентные приведенные деформации определяются следующим образом:

, (4.43)

а эквивалентные напряжения определяются как:

. (4.44)

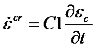
Эквивалентное приращение деформаций ползучести Δ ε cr обычно предполагается положительным (при постоянной нагрузки деформации как правило не уменьшаются). Величина приращения деформаций ползучести может быть определена как скорость деформаций ползучести, умноженная на шаг по времени:

. (4.44)

Соотношения, определяющие скорость деформаций ползучести для некоторых моделей ползучести приведены в таблице 4.1. При этом в таблице 4.1 приняты следующие обозначения:

T – температура в градусах Кельвина;

t – время в конце шага интегрирования;

С1...С12 – константы материала определяемые для каждой модели (в разных моделях одинаковыми символами могут обозначаться разные по физическому смыслу константы).

Поскольку получение всех констант С1...С12 для конкретного материала может представлять трудность, а поведение материала не всегда соответствует указанным ниже моделям, в пакетах МКЭ обычно предусмотрена возможность задавать пользовательские модели ползучести.

 

Таблица 4.1 - Скорость деформаций ползучести

Модель ползучести Соотношения
Упрочнение по деформациям
Упрочнение по времени
Обобщенная экспоненциальная ,
Обобщенная Грэма
Обобщенная Блекбурна , , ,
Приведенное упрочнение по времени
Приведенное упрочение по деформациям
Обобщенная Горофало
Экспоненциальная
Нортона
Упрочнение по времени
Рациональный многочлен , , , ,
Обобщенное упрочнение По времени

 

Коэффициент ползучести (мера приращения деформаций ползучести) в точке интегрирования вычисляется как:

. (4.45)

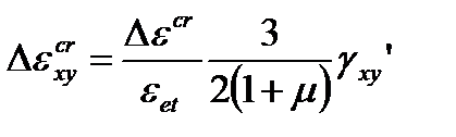
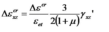
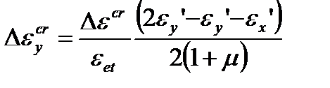
Приращение деформаций ползучести на n -м шаге интегрирования определяется по компонентам тензора деформаций:

, (4.46)

, (4.47)

, (4.48)

, (4.49)

, (4.50)

. (4.51)

Заметим, что компоненты приведенных полных деформаций могут иметь значения от -1 до +1.

Формулы для расчета упругих деформаций и полных деформаций ползучести на n -м шаге интегрирования приведены ниже (только для х-компонента):

, (4.52)

. (4.53)

 

Напряжения рассчитываются на базе компонентов (ε ')n, это дает корректные значения напряжений для задач с фиксированными нагрузками (ползучесть) и максимальные напряжения за каждый шаг интегрирования для задач с фиксированными перемещениями (релаксация).

Отдельно отметим, что шаг интегрирования Δ tn рекомендуется выбирать исходя из условия, чтобы максимальное значение коэффициента ползучести CMAX не превышало 0, 1. В любом случае при CMAX превышающем 0, 25 обычно расчет останавливается.

 


Поделиться с друзьями:

mylektsii.su - Мои Лекции - 2015-2026 год. (1.554 сек.)Все материалы представленные на сайте исключительно с целью ознакомления читателями и не преследуют коммерческих целей или нарушение авторских прав Пожаловаться на материал