Студопедия

Главная страница Случайная страница

КАТЕГОРИИ:

АвтомобилиАстрономияБиологияГеографияДом и садДругие языкиДругоеИнформатикаИсторияКультураЛитератураЛогикаМатематикаМедицинаМеталлургияМеханикаОбразованиеОхрана трудаПедагогикаПолитикаПравоПсихологияРелигияРиторикаСоциологияСпортСтроительствоТехнологияТуризмФизикаФилософияФинансыХимияЧерчениеЭкологияЭкономикаЭлектроника






Способи виявлення мультиколінеарності






Виявити явище мультиколінеарності можна декількома способами:

1) Якщо значення коефіцієнтів парної кореляції між двома незалежними змінними більше 0, 8, то це означає, що між ними існує мультиколінеарність;

2) Якщо значення визначника кореляційної матриці близьке до нуля, то це свідчить про те, що в масиві незалежних змінних існує мультиколінеарність;

3) Якщо невелика зміна (додавання чи відкидання невеликого числа спостережень) приводить до суттєвої зміни значень оцінок параметрів економетричної моделі, чи знаків цих оцінок, то в даному випадку між незалежними змінними може існувати мультиколінеарність;

4) При побудові багатофакторної економетричної моделі ми отримали значення оцінок параметрів, що мають з економічної точки зору невірні знаки або невиправдано великі чи малі значення, то причиною цього може бути явище мультиколінеарності.

На практиці найчастіше для виявлення мультиколінеарності використовують метод Фаррара-Глобера. В основі алгоритму цього методу є три статистичні критерії:

- критерій , з допомогою якого встановлюємо чи існує мультиколінеарність у всьому масиві незалежних змінних;

- F -критерій Фішера, за яким визначаємо мультиколінеарність кожної незалежної змінної з масивом інших;

- t -критерій Стьюдента, на основі якого перевіряємо наявність мультиколінеарності кожної пари незалежних змінних.

Сам алгоритм методу складається з таких етапів:

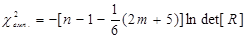
1) Обчислюємо емпіричне значення за формулою:

,

де n – об’єм вибірки (кількість спостережень);

m – кількість незалежних змінних;

det[ R ] – визначник кореляційної матриці [ R ];

ln – натуральний логарифм.

2) Для заданої ймовірності p (рівня значимості α =1– p) і числа ступенів вільності знаходимо табличне значення Дальше порівнюємо емпіричне і табличне значення. Якщо , то з заданою ймовірністю p, яку називають довірчою ймовірністю, або надійністю, можна стверджувати, що загальна мультиколінеарність відсутня і дослідження мультиколінеарності на цьому закінчується. Якщо ж , то з заданою надійністю p вважаємо, що в масиві незалежних змінних існує мультиколінеарність.

3) Розраховуємо емпіричне значення параметру F за формулою:

,

де zii – елементи головної діагоналі матриці [ Z ], оберненої до кореляційної [ R ].

4) Для заданої ймовірності p (рівня значимості α =1– p) і числа ступенів вільності знаходимо табличне значення Дальше порівнюємо емпіричне і табличне значення. Якщо , то з заданою ймовірністю p, можна стверджувати, що змінна хі не мультиколінеарна з масивом інших незалежних змінних. Якщо ж , то існує мультиколінеарність змінної хі з масивом інших незалежних змінних.

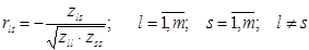
5) Знаходимо емпіричне значення параметру:

,

де rls – коефіцієнти частинної кореляції між незалежними змінними xl та xs, значення яких обчислюємо за формулою:

,

а zls, zll та zss – елементи матриці [ Z ].

6) За таблицями Стьюдента для рівня значущості α та числа ступенів вільності знаходимо табличне значення tкр. і порівнюємо його з емпіричним. Якщо , то з заданою ймовірністю p можна стверджувати, що між змінними xl та xs немає мультиколінеарності. Якщо ж , то мультиколінеарність між цими змінними існує.

Таким чином, при побудові багатофакторних економетричних моделей ми можемо встановити, чи існує мультиколінеарність, але перед нами стоїть питання як її позбутися, або зменшити її вплив.


Поделиться с друзьями:

mylektsii.su - Мои Лекции - 2015-2026 год. (0.925 сек.)Все материалы представленные на сайте исключительно с целью ознакомления читателями и не преследуют коммерческих целей или нарушение авторских прав Пожаловаться на материал