Студопедия

Главная страница Случайная страница

КАТЕГОРИИ:

АвтомобилиАстрономияБиологияГеографияДом и садДругие языкиДругоеИнформатикаИсторияКультураЛитератураЛогикаМатематикаМедицинаМеталлургияМеханикаОбразованиеОхрана трудаПедагогикаПолитикаПравоПсихологияРелигияРиторикаСоциологияСпортСтроительствоТехнологияТуризмФизикаФилософияФинансыХимияЧерчениеЭкологияЭкономикаЭлектроника






Теорема Клапейрона о работе внешних нагрузок






Работа внешних нагрузок, статически прикладываемых к упругой конструкции, равна половине суммы произведений обобщенных сил на соответствующие обобщенные перемещения, возникающие от действия всех нагрузок одновременно.

WΣ = i,

где WΣ – суммарная работа всех внешних нагрузок,

Fi – обобщенная сила,

– обобщенное перемещение,

i, n - номер и число обобщенных сил.

 

 

1Σ =θ ∆ 3Σ

Fi


F2= P ∆ 1Σ =q F3=q

2Σ

F1=M

 

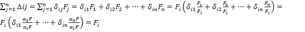
Вычислим перемещение по направлению i-ой обобщенной силы, вызванное действием всех обобщенных сил. Воспользуемся принципом суперпозиции:

=

Введем понятие о податливости упругой конструкции.

Податливость – это возможное перемещение по направлению i-i, вызванное действием возможной единичной обобщенной силы j=1, приложенной по направлению j-j.

 


i j

j=1

ij

i j

ij – податливость

i – направление перемещения

j – направление обобщенной силы

 

В причинно-следственной связи i – следствие, j – причина.

Преобразуем формулу для перемешения, учитывая физическую и геометрическую линейность.

= AiΣ = AiΣ Fi

AiΣ = - число или коэффициент пропорциональности между обобщенной силой F i и обобщенным перемещением ∆ .

Покажем параметрическую зависимость ∆ (t) =

(t)

 

Ω i

, max=∆

0

Fi, max=Fi

 

Работа, совершаемая силой Fi на перемешении ∆ , численно равна площади треугольника Ω i.

WΣ = .

 


Поделиться с друзьями:

mylektsii.su - Мои Лекции - 2015-2026 год. (1.082 сек.)Все материалы представленные на сайте исключительно с целью ознакомления читателями и не преследуют коммерческих целей или нарушение авторских прав Пожаловаться на материал