Студопедия

Главная страница Случайная страница

КАТЕГОРИИ:

АвтомобилиАстрономияБиологияГеографияДом и садДругие языкиДругоеИнформатикаИсторияКультураЛитератураЛогикаМатематикаМедицинаМеталлургияМеханикаОбразованиеОхрана трудаПедагогикаПолитикаПравоПсихологияРелигияРиторикаСоциологияСпортСтроительствоТехнологияТуризмФизикаФилософияФинансыХимияЧерчениеЭкологияЭкономикаЭлектроника






Теорема Бетти






Работа сил первого состояния (I группа сил) на перемещениях по их направлению, вызванных силами второго состояния (II группа сил), равна работе сил второго состояния на перемещениях по их направлению, вызванных силами первого состояния:

W12=W21

Рассмотрим две последовательности нагружения упругой конструкции двумя обобщенными силами F1 и F2.

Первая последовательность: статически прикладываем I силу F1, статически прикладываем II силу F2 .

Вторая последовательность: прикладываем статически обе силы одновременно (F1, F2).

 

A F1 B ∆ 21 A1 B F2

11 A1 B1 FF1

F1 A2 12 B2 A2 B2

 

11 – действительное перемещение по направлению I силы от действия этой же силы; ∆ 22 – то же для II направления, ∆ 12 – возможное перемещение по направлению I силы, вызванное действием второй силы, ∆ 21 – то же для II направления.

– перемещение по направлению I силы от действия двух сил одновременно, ∆ 2Σ – то же для II направления.

Вычислим суммарную работу для обеих последовательностей нагружения:

WΣ I=

W11, W22, W12 – действительная работа;

WΣ II= 1Σ 2Σ .

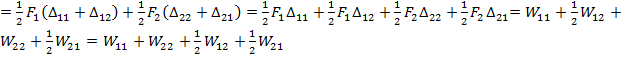
Согласно принципу произвольной очередности нарушения:

WΣ I = WΣ II или W11+W22+W12 = W11+W22+ .


Поделиться с друзьями:

mylektsii.su - Мои Лекции - 2015-2026 год. (1.688 сек.)Все материалы представленные на сайте исключительно с целью ознакомления читателями и не преследуют коммерческих целей или нарушение авторских прав Пожаловаться на материал