Студопедия

Главная страница Случайная страница

КАТЕГОРИИ:

АвтомобилиАстрономияБиологияГеографияДом и садДругие языкиДругоеИнформатикаИсторияКультураЛитератураЛогикаМатематикаМедицинаМеталлургияМеханикаОбразованиеОхрана трудаПедагогикаПолитикаПравоПсихологияРелигияРиторикаСоциологияСпортСтроительствоТехнологияТуризмФизикаФилософияФинансыХимияЧерчениеЭкологияЭкономикаЭлектроника






Формулы трапеций и Симпсона






Воспользуемся правилом Верещагина для перемножения двух прямолинейных эпюр, имеющих вид трапеций. Разобьем обе трапеции на треугольники, у которых площади и положения центров тяжести легко определяются.

 

Эпюра MF

 


ω 1

C1 C2

Эпюра
ω 2

 

 

 

 

Мы получили формулу трапеций, согласно которой произведения соответствующих левых и правых ординат эпюр необходимо удвоить, а произведения перекрестных ординат взять одинарными, и полученную сумму умножить на одну шестую длины эпюр.

Рассмотрим случай, когда грузовая эпюра представлена квадратной параболой, а единичная эпюра – трапецией.

ω П.С.

Наряду с крайними ординатами укажем и средние.   Разобьем криволинейную эпюру на трапецию и параболический сегмент.   Произведем перемножение соответствующих фигур.

 


ω T

 

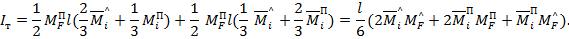
Выражение IТ у нас имеется. Найдем .

Площадь параболического сегмента:

 

Ордината единичной эпюры под центром тяжести параболического сегмента:

 

После подстановки получаем формулу Симпсона:

Произведение двух эпюр равно сумме произведений крайних ординат и учетверенному произведению средних ординат, умноженной на одну шестую длины эпюр.


Поделиться с друзьями:

mylektsii.su - Мои Лекции - 2015-2026 год. (2.155 сек.)Все материалы представленные на сайте исключительно с целью ознакомления читателями и не преследуют коммерческих целей или нарушение авторских прав Пожаловаться на материал