Студопедия

Главная страница Случайная страница

КАТЕГОРИИ:

АвтомобилиАстрономияБиологияГеографияДом и садДругие языкиДругоеИнформатикаИсторияКультураЛитератураЛогикаМатематикаМедицинаМеталлургияМеханикаОбразованиеОхрана трудаПедагогикаПолитикаПравоПсихологияРелигияРиторикаСоциологияСпортСтроительствоТехнологияТуризмФизикаФилософияФинансыХимияЧерчениеЭкологияЭкономикаЭлектроника






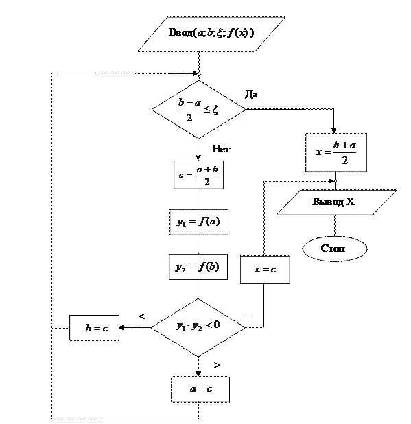
Приложение Б. Блок – схемы решения нелинейных уравнений






Блок – схемы решения нелинейных уравнений

 

Рисунок Б.1 - Решение уравнения методом деления пополам

 

 

Риснок Б.2 - Решение уравнения методом касательных

 

 

 

Рисунок Б.3 – Решение уравнения методом хорд

 

 

учебное издание

 

Казанов Юрий Константинович

 

ЭЛЕМЕНТЫ ВЫЧИСЛИТЕЛЬНОЙ МАТЕМАТИКИ

Учебное пособие

 

–––––––––––––––––––––––––––––––––––––––––––––––––––––––

Подписано в печать

Формат 60x84 1/16

Объем 9, 0п.л. Тираж 100 экз. Заказ

–––––––––––––––––––––––––––––––––––––––––––––––––––––––

ГОУ ВПО “Московский государственный университет

приборостроения и информатики”

107996, Москва, ул. Стромынка, 20

 

 

ББК 22.193я73

П.26

УДК 519.6(075.8)

 

Рецензенты: д.т.н., профессор кафедры “Прикладная математика и

моделирование систем” Московского государственного

университета печати;

к.т.н., доцент кафедры “Прикладная математика” Южно-

Российского государственного технического

университета (Новочеркасский политехнический институт)

 


Поделиться с друзьями:

mylektsii.su - Мои Лекции - 2015-2026 год. (1.807 сек.)Все материалы представленные на сайте исключительно с целью ознакомления читателями и не преследуют коммерческих целей или нарушение авторских прав Пожаловаться на материал