Студопедия

Главная страница Случайная страница

КАТЕГОРИИ:

АвтомобилиАстрономияБиологияГеографияДом и садДругие языкиДругоеИнформатикаИсторияКультураЛитератураЛогикаМатематикаМедицинаМеталлургияМеханикаОбразованиеОхрана трудаПедагогикаПолитикаПравоПсихологияРелигияРиторикаСоциологияСпортСтроительствоТехнологияТуризмФизикаФилософияФинансыХимияЧерчениеЭкологияЭкономикаЭлектроника






Сырьевые расчеты






 

Сырьевые расчеты необходимы для определения объема производства, интенсивности технологических процессов, потребность количества вспомогательных материалов, воды, пара, электроэнергии, подобрать технологическое оборудование, рассчитать емкость камер хранения молочных продуктов.

Сырьевой расчет ведется на смену суток максимального поступления молока. Сырьевой расчет выполняют по формулам материального баланса, по нормам расхода сырья на единицу готовой продукции с учетом содержания жира, сухих веществ, влаги и других показателей, а также по рецептурам, при этом возникает особенность: в случае отсутствия сырья выполняют перерасчет на имеющееся сырье.

В основу сырьевого расчета принимают схемы технологического направления переработки молока, данные о количестве сырья, поступившего на переработку или о количестве готового продукта, плановые нормы предельно допустимых потерь на разных стадиях переработки молока, содержание расчетных компонентов в сырье, готовых продуктов, отходов или плановых расходов сырья.

Особенностипрограммы: расчеты для жирной продукции ведутся от готового продукта к сырью. Затраты сырья на жирную продукцию определяются с учетом фактиче­ских норм расхода с учетом базисной жирности. Затраты сырья на отдельные виды обезжиренной продукции устанавливаются из долевого распределения на каждый вид продукта.

Исходные данные:

Количество сырья – 20 тонн

Массовая доля жира сыра Голландского– 45%

Массовая доля жира сыра Костромского– 45%

Массовая доля жира сыра Российского–45%

На рис. 1 представлена схема по глубине переработки сырья.

 

Молоко

 

Сырный сгусток Сырный сгусток Сырный сгусток

           
     
 
 

 

 


Готовый сыр, 45% Готовый сыр, 45% Готовый сыр, 45%

 

Рисунок 1 – Схема по глубине переработки сырья

 

Расчет от количества сырья к количеству сыра Голландского

1. Массовая доля жира в нормализованном молоке

(1)

Где Жн - массовая доля жира в нормализованном молоке, %

Жст – массовая доля жира в сухом веществе сыра, %

К – коэффициент, учитывающий степень использования массовой доли жира и белка молока (%) (Принять К=1, 98%)

(2)

2. Массовая доля белка цельного молока

(3)

Где Жц – количество цельного молока, направляемого на производство сыра

3. Количество нормализованного молока для производства сыра голландского

* (4)

Где Мц – количество цельного молока, направляемого на производство сыра, кг.

Мн – количество получаемого нормализованного молока, кг.

Жн – расчетная массовая доля жира нормализованного молока, %

П – норма предельно допустимых потерь сырья при нормализации, % (Принять=0, 2)

Мн= =7777, 7 (5)

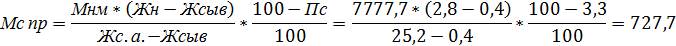
4. Количество сыра из-под пресса

Где Мс пр – количество получаемого сыра из-под пресса, кг

Жс а – абсолютная массовая доля жира в сырье, % рассчитывается по формуле 5.

Жсыв – массовая доля жира в сыворотке, % (Жсыв зависит от вида сыра и массовой доли жира в нем)

Пс – норма предельно допустимых потерь сыра при переработке молока, % (Принять =3, 3)

5. Абсолютная массовая доля жира в сыре

(6)

Где Жст - массовая доля жира в сухом веществе сыра, %

6. Количество зрелого сыра

(7)

Где Мс з – количество зрелого сыра, направляемого после созревания в камеру хранения и реализации, кг

Ус – норма потерь сыра при созревание, т.е. усушка сыра, % Норма усушки зависит от вида и продолжительности его созревания.

(8)

7. Выход сыворотки от производства сыра Голландского

Мсыв=Мн*Всыв/100 (9)

где Мнм - количество нормализованного молока, направляемого на производство сыра

Всыв – выход сыворотки от перерабатываемого количества нормализованного сыра, % (принять Всыв=75%)

Мсы=7777, 7*75= 583327, 5

Расчет от количества сырья к количеству сыра Костромского

1. Массовая доля жира в нормализованном молоке

2. Массовая доля белка цельного молока

3. Количество нормализованного молока для производства сыра костромского

* = =7777, 7

4. Количество сыра из-под пресса

5. Абсолютная массовая доля жира в сыре

6. Количество зрелого сыра

7. Выход сыворотки от производства сыра Костромского

Мсыв=Мн*Всыв/100

где Мнм - количество нормализованного молока, направляемого на производство сыра

Всыв – выход сыворотки от перерабатываемого количества нормализованного сыра, % (принять Всыв=75%)

Мсы=7777, 7*75= 583327, 5

Расчет от количества сырья к количеству сыра Российскому

1. Массовая доля жира в нормализованном молоке

2. Массовая доля белка цельного молока

3. Количество нормализованного молока для производства сыра российского

* = =5850, 3

4. Количество сыра из-под пресса

5. Абсолютная массовая доля жира в сыре

6. Количество зрелого сыра

7. Выход сыворотки от производства сыра Российского

Мсыв=Мн*Всыв/100

где Мнм - количество нормализованного молока, направляемого на производство сыра

Всыв – выход сыворотки от перерабатываемого количества нормализованного сыра, % (принять Всыв=75%)

Мсы=5850, 3*75= 438772, 5

Таблица 9 – Сводные данные сырьевых расчетов

Наименование продукта Количество нормализованного молока, кг Количество сыра из-под пресса, кг Количество зрелого сыра, кг Выход сыворотки от производства сыра,
Сыр голландский 7777, 7 727, 7   583327, 5
Сыр костромской 7777, 7 727, 7   583327, 5
Сыр российский 5850, 3 486, 6   438772, 5

 


Поделиться с друзьями:

mylektsii.su - Мои Лекции - 2015-2026 год. (1.287 сек.)Все материалы представленные на сайте исключительно с целью ознакомления читателями и не преследуют коммерческих целей или нарушение авторских прав Пожаловаться на материал