Студопедия

Главная страница Случайная страница

КАТЕГОРИИ:

АвтомобилиАстрономияБиологияГеографияДом и садДругие языкиДругоеИнформатикаИсторияКультураЛитератураЛогикаМатематикаМедицинаМеталлургияМеханикаОбразованиеОхрана трудаПедагогикаПолитикаПравоПсихологияРелигияРиторикаСоциологияСпортСтроительствоТехнологияТуризмФизикаФилософияФинансыХимияЧерчениеЭкологияЭкономикаЭлектроника






Загальні відомості про нелінійні функції регресій






У більшості випадків при побудові ЕМ залежності результативного показника від пояснюючих змінних зустрічаються випадки нелінійної форми зв’язку між ними. В загальному випадку модель парної регресії можна представити у вигляді:

,

де f(x) - функція від х, а u – випадкова складова.

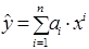
Нелінійна багатофакторна економетрична модель:

.

При побудові економетричної моделі з двома змінними вид залежності, яка адекватно відобразить причинно-наслідкові зв’язки певного економічного процесу чи явища, визначаємо по діаграмі розсіювання.

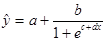
Основні форми нелінійних регресійних моделей, які найчастіше використовуються при встановленні залежності між двома економічними показниками:

1) парабола
2) поліноміальна
3) степені 1/2
4)логарифмічна
5) степенева
6) експонента
7) гіпербола
8) логістична

 


Поделиться с друзьями:

mylektsii.su - Мои Лекции - 2015-2026 год. (1.074 сек.)Все материалы представленные на сайте исключительно с целью ознакомления читателями и не преследуют коммерческих целей или нарушение авторских прав Пожаловаться на материал