Студопедия

Главная страница Случайная страница

КАТЕГОРИИ:

АвтомобилиАстрономияБиологияГеографияДом и садДругие языкиДругоеИнформатикаИсторияКультураЛитератураЛогикаМатематикаМедицинаМеталлургияМеханикаОбразованиеОхрана трудаПедагогикаПолитикаПравоПсихологияРелигияРиторикаСоциологияСпортСтроительствоТехнологияТуризмФизикаФилософияФинансыХимияЧерчениеЭкологияЭкономикаЭлектроника






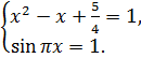
Задачи и решения. Пример 8.1.Решить уравнение






Пример 8.1. Решить уравнение

(8.1)

Решение. Выделим полный квадрат в правой части уравнения, т.е. . Отсюда следует, что . Так как при этом то из (8.1) получаем систему уравнений

(8.2)

Решением второго уравнения системы является . Подстановкой в первое уравнение убеждаемся, что найденное значение x является решением системы уравнений (8.2).

Ответ: .

Пример 8.2. Решить уравнение

(8.3)

Решение. Обозначим тогда из определения обратной тригонометрической функции имеем и .

Так как то из уравнения (8.3) следует неравенство т.е . Поскольку и , то и . Однако и поэтому .

Если и то . Так как ранее было установлено, что , то .

Ответ:

Пример 8.3. Решить уравнение

(8.4)

Решение. Областью допустимых значений уравнения (8.4) являются .

Первоначально покажем, что функция при любых может принимать только положительные значения.

Представим функция следующим образом: .

Поскольку то имеет место т.е

Следовательно для доказательство неравенства , необходимо показать, что . С этой целью возведем в куб обе части данного неравенства, тогда

,

Полученное числовое неравенство свидетельствует о том что . Если при этом еще учесть, что то левая часть уравнения (8.4) неотрицательна.

Рассмотрим теперь первую часть уравнения (8.4).

Так как то

.

Однако известно, что . Отсюда следует, что , т.е первая часть уравнения (8.4) не превосходить . Ранее было доказано, что левая часть уравнения (8.4) неотрицательна, поэтому равенство в (8.4) может быть только в том случае, когда обе его части равны , а это возможно лишь при .

Ответ: .

 

 


Поделиться с друзьями:

mylektsii.su - Мои Лекции - 2015-2026 год. (0.964 сек.)Все материалы представленные на сайте исключительно с целью ознакомления читателями и не преследуют коммерческих целей или нарушение авторских прав Пожаловаться на материал