Студопедия

Главная страница Случайная страница

КАТЕГОРИИ:

АвтомобилиАстрономияБиологияГеографияДом и садДругие языкиДругоеИнформатикаИсторияКультураЛитератураЛогикаМатематикаМедицинаМеталлургияМеханикаОбразованиеОхрана трудаПедагогикаПолитикаПравоПсихологияРелигияРиторикаСоциологияСпортСтроительствоТехнологияТуризмФизикаФилософияФинансыХимияЧерчениеЭкологияЭкономикаЭлектроника






Задачи и решения. Пример 9.1. Решить систему уравнений






Пример 9.1. Решить систему уравнений

(9.5)

Решение. Если к обеим части каждого уравнения системы (9.5) прибавить , то получаем

и

Из последней системы уравнений следует

и

Пусть , тогда

и ,

Если , то по аналогии с предыдущим получаем .

Ответ: , .

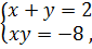
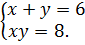
Пример 9.2. Решить систему уравнений

(9.6)

Решение. Из первого уравнения системы (9.6) вычем второго уравнение, тогда . Умножим на 2 обе части последнего уравнения и получим

откуда следует . В током случае первое уравнение системы (9.6) принимает . Следовательно, . Так как , то

Ответ:

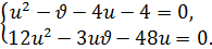
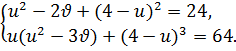
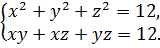
Пример 9.3. Решить систему уравнений

(9.7)

Решение. Обозначим и . Тогда из первого уравнения системы (9.7) следует, что из .

Преобразуем второе и третье уравнения системы (9.7) следующим образом:

(9.8)

Из второго уравнения системы (9.8) следует, что необходимо рассмотреть два случая.

1) Пусть . Тогда , а из первого уравнения системы

(9.8) получаем Так как и , то имеет место система уравнений

,

из которой следует и

2) Пусть , тогда . Если данное выражение для подставить в первое уравнение системы (9.8), то получим квадратное уравнение относительно переменной вида , которое имеет два корня и .

Если , то и из первого уравнения системы (9.8) получаем . В таком случае

и .

Если , то , и

Отсюда следует .

Ответ: См. выше.

Пример 9.4. При каких значениях параметра система неравенств

(9.9)

имеет единственное решение?

Решение. В систему неравенств (9.9) переменные входят симметрично, поэтому единственное ее решение необходимо искать в виде и , где .

Подставим в любое из неравенств системы (9.9), тогда или . Для того, чтобы квадратное неравенство имело бы единственное решение, необходимо его дискриминант приравнять нулю, т.е. и

Ответ:


Поделиться с друзьями:

mylektsii.su - Мои Лекции - 2015-2026 год. (1.365 сек.)Все материалы представленные на сайте исключительно с целью ознакомления читателями и не преследуют коммерческих целей или нарушение авторских прав Пожаловаться на материал